0  172582  172590  172596  172600  172606  172608  172612  172618  172620  172626  172632  172636  172638  172642  172648  172650  172656  172660  172662  172666  172668  172672  172674  172676  172677  172678  172680  172681  172682  172684  172686  172690  172692  172696  172698  172702  172708  172710  172716  172720  172722  172726  172732  172738  172740  172746  172750  172752  172758  172762  172768  172776  447090 

15.在无色的酸性溶液中可以大量共存的离子组是( ).

 A.

 B.

 C.

 D.

试题详情

14.下列离子方程式不正确的是( ).

A.碳酸氢钙溶液中加入等物质的量溶质的NaOH溶液:

 B.通入溴水中:

 C.Cu片插入溶液中:

 D.FeO与稀反应:

试题详情

13.最近发现一种由钛(Ti)原子和碳原子构成的气态团簇分子,分子模型如图所示,其中圆圈表示钛原子,黑点表示碳原子,则它的化学式为( ).

 A.TiC             B.

 C.      D.

试题详情

12.在一定条件下,氯气与碘单质以等物质的量进行反应,可得到一种红棕色液体ICl,ICl有很强的氧化性.现有下列两个反应:

  ②下列关于ICl性质的叙述正确的是( ).

 A.反应①中,当转移0.4 mol电子时生成13.6 g

 B.反应①中,既是氧化产物又是还原产物

 C.反应①中,既是氧化产物又是还原产物

 D.反应②中,ICl既是氧化剂又是还原剂

试题详情

11.已知溶质质量分数为96%的酒精溶液的物质的量浓度为16.6 mol·,试判断48%的酒精溶液的物质的量浓度(mol·)( ).

 A.大于8.3           B.等于8.3

 C.小于8.3          D.无法确定

试题详情

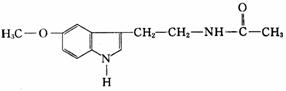
10.脑白金中主要成分的结构简式为下列对脑白金主要成分的推断错误的是( ).

 A.其分子式为  B.它能水解得到乙酸

 C.该物质是苯的同系物     D.该物质属于蛋白质

试题详情

9.用表示阿佛加德罗常数,下列说法正确的是( ).

 A.标准状况下,1.12 L己烯的物质的量不等于0.05 mol

 B.62 g白磷含有2个白磷分子

 C.1 mol中含有10个质子

 D.22.4 L气体含有2个氧原子

试题详情

8.用惰性电极电解的水溶液,当阴极上增重a g时,在阳极上同时产生b L氧气(标准状况),则可知M的原子量为:( ).

 A.      B.

 C.      D.

试题详情

7.国际化学组织已将周期表中原主、副族的族号去掉而改称列,如碱金属为第1列,稀有气体为第18列.按此规定属于第13列的元素有( ).

 A.硼、铝、镓         B.氮、磷、砷

 C.铜、银、金          D.锌、镉、汞

试题详情

6.在医学、日常生活中常见的溶液:①福尔马林②医用消毒酒精③生理盐水④食醋,这些溶液中的溶质质量分数由大到小顺序为( ).

 A.①②③④ B.②①③④  C.②④①③  D.②①④③

试题详情


同步练习册答案