0  173322  173330  173336  173340  173346  173348  173352  173358  173360  173366  173372  173376  173378  173382  173388  173390  173396  173400  173402  173406  173408  173412  173414  173416  173417  173418  173420  173421  173422  173424  173426  173430  173432  173436  173438  173442  173448  173450  173456  173460  173462  173466  173472  173478  173480  173486  173490  173492  173498  173502  173508  173516  447090 

29.(16分)有机物A(C8H8O2)为一种无色液体。从A出发可发生如下一系列反应:

请回答:

(1)A和F的结构简式:A            ,F           

(2)反应②的离子反应方程式:                                     

反应④的化学反应方程式:                     。(请注明示踪原子)

(3)A的同分异构体甚多,其中属于羧酸类的化合物,且含有苯环结构的异构体有多种。写出其结构简式                                             

试题详情

28.(13分)某中学有甲、乙两个探究性学习小组,他们拟用小颗粒状铝硅合金与足量稀硫酸能反应测定通常状况(约20℃,1atm)下气体摩尔体积的方法。

(1)甲组同学拟选用下图实验装置完成实验:

①该组同学必须选用的装置的连接顺序是A接(      )(      )接(     )(     )接(      )(填接口字母,可不填满。)

②实验开始时,先打开分液漏斗上口的玻璃塞,再轻轻打开其活塞,一会儿后稀硫酸不能顺利滴入锥形瓶(导管中无固体物堵塞)。请你帮助分析原因:  ___                                                       

③实验结束时,该组同学应怎样测量实验中生成氢气的体积?           

(2)乙组同学仔细分析甲组同学的实验装置后,认为有些不够完善,他们改用了如下图的装置进行实验,可减小所测氢体积的误差。

①导管a的作用是                                           

②实验结束时,若用甲组同学实验装置所测氢气体积偏小,其可能的原因是(导管中无固体物堵塞)                                         

③实验中准确测得4个数据:实验前铝硅合金的质量g,实验后残留固体的质量g,实验前后碱式滴定管中液面读数分别为V1mL、V2 ML。则通常状况时气体摩尔体积

试题详情

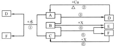
27.(10分)已知A-F是中学化学中常见物质,其中A、C、E、F为气体,B、D为液体,D 的消费量常作为一个国家工业发达水平的一种标志,F的浓溶液与x共热通常用于实验室制备单质C,X是一种黑色粉末,B分子中有18个电子。反应中部分生成物已略去。试回答下列问题:

(1)根据图中信息,B、C、D、X氧化性从强到弱的顺序是              

(2)B的电子式为:               

(3)写出反应②的化学方程式:                                     

(4)写出反应①⑥的离子方程式:

                                                         

                                                         

试题详情

26.(15分)

(1)在反应中,当有3mol水参加反应时,由还原的          mol;总共转移的电子数为           mol。

(2)日本青山学院大学教授秋光纯发现的化合物硼化镁在39K时超导,该化合物的晶体结构如下图所示,“○”表示Mg,处于六棱柱的顶点和面心。“●”表示B,处于六棱柱中6个三棱柱的体心,请完成下列问题:

①该化合物的化学式为              

②以任意一个镁原子为球心、以它到最近的硼原子的距离为半径画球,则第一层球面上有          个硼原子;

③已知该化合物晶体的密度为g/cm,底边边长为cm,高为 cm,则阿伏加德罗常数NA=            (用含有的式子表示,根号不用开出)。

试题详情

13.设NA为阿伏加德罗常数,下列说法正确的是

A.标准状况下的22.4L辛烷完全燃烧,生成的二氧化碳的分子数为8NA

B.在熔融状态下,l mol NaHSO4完全电离出的阳离子数目为2NA

C.1 mol S被Cu还原,转移电子数为2NA

D.在1L 2mol·L1的硝酸镁溶液中含有的硝酸根离子数为4NA

第Ⅱ卷(非选择题    共174分)

试题详情

12.下列离子方程式正确的是

A.将SO2通入次氯酸钙溶液中:

B.碳酸氢钠溶液跟过量的饱和石灰水反应:

C.Ca(OH)2溶液中通入过量CO2

D.饱和氯化铁溶液滴加沸水中:

试题详情

11.对下面有机物的叙述不正确的是

A.常温下,与Na2CO3溶液反应放出CO2

B.能发生碱性水解,1mol该有机物完全反应消耗8molNaOH

C.与稀H2SO4共热,生成两种有机物

D.该有机物的分子式为C14H10O9

试题详情

10.反应A2+B22AB在不同温度和压强改变条件下,产物AB的生成情况,如下图所示:a为500℃,b为300℃时情况,c为300℃时从时间开始向容器中加压的情况,则下列叙述正确的是

A.A2、B2、AB均为气体,正反应放热

B.AB为气体,A2、B2中最少有一种为非气体,正反应放热

C.AB为气体,A2、B2中最少有一种为非气体,正反应吸热

D.AB为固体,A2、B2中最少有一种为非气体,正反应吸热

试题详情

9.某学生在实验报告中有以下实验数据

①用托盘天平称取11.7g氯化钠             ②用量筒量取5.26mL盐酸

③用广泛pH试纸测得溶液的pH是3.5

④用标准NaOH溶液滴定未知浓度盐酸用去23.10mLNaOH溶液,其中数据合理的是

A.①④           B.②③            C.①③           D.②④

试题详情

8.下列说法正确的是

A.H与D,互为同位素;互为同素异形体;甲醇、乙二醇和丙三醇互为同系物

B.向某未知溶液中加入BaCl2溶液后再加入稀硝酸,检验是否含

C.HI的相对分子质量大于HF,所以HI的沸点高于HF

D.由ⅠA族和ⅥA族元素形成的原子个数比为1 :1,电子总数为38的化合物,是含有共价键的离子型化合物

试题详情


同步练习册答案