0  246989  246997  247003  247007  247013  247015  247019  247025  247027  247033  247039  247043  247045  247049  247055  247057  247063  247067  247069  247073  247075  247079  247081  247083  247084  247085  247087  247088  247089  247091  247093  247097  247099  247103  247105  247109  247115  247117  247123  247127  247129  247133  247139  247145  247147  247153  247157  247159  247165  247169  247175  247183  447090 

3、设函数,若是奇函数,则的值是(   )

A.        B.       C.     D.

试题详情

2、设全集,如图,则图中阴影部分所表示的集合为(   ) 

A.    B. 

C.  D.

试题详情

1、设集合,若,则的范围是(  )

A.   B.   C.  D.

试题详情

28. (8分) 将2.5g碳酸钠、碳酸氢钠和氢氧化钠固体混合物完全溶解于水,制成稀溶液,然后向该溶液中逐滴加入1mol/L的盐酸,所加入盐酸的体积与产生CO2的体积(标准状况)关系如下图所示:

(1)写出OA段所发生反应的

离子方程式                   

(2)当加入35mL盐酸时,产生

二氧化碳的体积为     mL(标准状况)

(3)计算原混合物中Na2CO3的质量分数。

试题详情

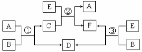
27. (8分)A、B、C、D、E、F六种物质在一定条件下有如图所示的相互转化关系,所有反应物和生成物已给出

(1)若反应①、②、③均为溶液中的置换反应,且通常状况下A为液态非金属单质,B的焰色反应为黄色,则根据反应①、②、③比较相关物质的氧化性由强到弱的顺序为         (用字母表示);反应②的离子方程式为                    

(2)若B是一种淡黄色固体,绿色植物的光合作用和呼吸作用可实现自然界中D、E的循环,则反应①的离子方程式为             。在反应③中若生成1molD,则转移的电子数目为       

试题详情

26. (12分)为了研究氯水能否和碳酸钙发生化学反应,某学生设计如下实验:

实验一:向盛有饱和氯水的锥形瓶中加入大理石,并充分振荡,观察到氯水的黄绿色褪去并同时产生少量气体。

实验二:取上述实验一后锥形瓶中清液,进行如下实验:

(1)该清液滴在有色布条上有极强的漂白作用。

(2)该清液中滴加碳酸钠溶液产生白色沉淀。

(3)该清液中滴加稀盐酸可产生大量气体。

(4)该清液加热后变浑浊并产生大量气体。

实验三:该学生设想用下列装置收集实验二中产生的气体作进一步检验。

回答下列问题:

(1)在实验二中,清液滴在有色布条上有极强的漂白作用说明该清液中含有        (写化学式);清液中滴加碳酸钠溶液产生白色沉淀说明该清液中含有     离子;清液加热后产生浑浊的原因是因为生成了           (用化学式表示)。

(2)实验三中,洗气装置内的洗涤液一般用         溶液。 

(3)在反应物的量相同情况下,该学生尝试用集气装置A和集气装置B分别和洗气装置相连来收集气体。选用集气装置          (选填“A”或“B”)可收集到更多的气体。经试验,该学生最终选用集气装置B进行下一步实验。其选择装置B的原因是                                 

(4)该学生通过上述实验,写出了氯水和碳酸钙反应的化学方程式为               

试题详情

25. (6分)下面a-e是中学化学实验中常见的几种定量仪器:

   (a)量筒   (b)容量瓶  (c)托盘天平  (d)温度计  (e)滴定管

   (1)其中标示出仪器使用温度的是          (填写编号)。

   (2)配制一定物质的量浓度的溶液时,由于错误操作, 使得到的数据比正确数据偏小的是          (填写编号)。

A.用量筒量取一定量液体时, 俯视液面读数。 

B.没有用蒸馏水洗烧杯2-3次,并将洗液移入容量瓶中。

 C、容量瓶刚用蒸馏水洗净,没有烘干。

 D、使用容量瓶配制溶液时, 俯视液面定容。

 (3)称取10.5g固体样品(1g以下使用游码)时, 将样品放在了天平的右盘, 则所称样品的实际质量为     g。

试题详情

24. (6分)一瓶澄清的溶液,其中可能含有NH4+、K+、Na+、Mg2+、Ba2+、Al3+、Cl、I、NO3

CO32、SO42离子,取该溶液进行以下实验:

(1)取pH试纸检验,溶液呈酸性。

(2)取出部分溶液,加入少量CCl4及数滴新制氯水,经振荡后CCl4层呈紫色。

(3)另取部分溶液逐渐加入少量NaOH溶液,使溶液从酸性逐渐变为碱性,在滴加过程中和滴加完毕后,溶液均无沉淀产生。

(4)取上述部分碱液加碳酸钠溶液,有白色沉淀产生。

(5)将(3)得到的碱性溶液加热,有气体放出,该气体能使湿润的红色石蕊试纸变蓝

根据上述实验事实确定:

①该溶液中肯定存在的离子是___     ___; ②肯定不存在的离子是____      _;

③还不能确定是否存在的离子是__________________________________。

试题详情

23.(6分)在盛有淀粉KI溶液(已酸化)的试管中,滴加少量的次氯酸钠溶液,会立即看到溶液变蓝色,相应的离子方程式为                      ;

在盛有淀粉和碘形成的蓝色溶液中,滴加亚硫酸钠溶液,又发现蓝色逐渐消失,相应的离子方程式为           

对比以上两组实验结果,可得出ClO、I2、SO42的氧化性由强到弱的顺序为           

试题详情

22.如图是一种试验某气体化学性质的实验装置,图中B为活塞。如先打开B,在A处通入干燥氯气,C中红布条颜色无变化;当关闭B时,C中红布条颜色褪去。则D瓶中盛有的溶液是 (  )     

    A.浓硫酸  B.浓NaOH溶液   C.H2O  D.饱和NaCl溶液

第Ⅱ卷(非选择题  共46分)

试题详情


同步练习册答案