0  252967  252975  252981  252985  252991  252993  252997  253003  253005  253011  253017  253021  253023  253027  253033  253035  253041  253045  253047  253051  253053  253057  253059  253061  253062  253063  253065  253066  253067  253069  253071  253075  253077  253081  253083  253087  253093  253095  253101  253105  253107  253111  253117  253123  253125  253131  253135  253137  253143  253147  253153  253161  447090 

8.A是一种可以作为药物的有机化合物。请从下列反应图式中各有机化合物的关系(所有无机产物无已略去未写),推测有机化合物A、B、C、E、F的结构简式。(Ф代表苯基)

试题详情

7.某有机物A在不同条件下反应,分别生成B1+C1和B2+C2;C1又能分别转化为B1或C2;C2能进一步氧化,反应如下图所示:

其中只有B1,既能使溴水褪色,又能和Na2CO3溶液反应放出CO2

写出(1)B1、C2分别属于下列哪一类化合物?

①一元醇  ②二元醇  ③酚  ④醛  ⑤饱和羧酸  ⑥不饱和羧酸

B1     ;C2     (填入编号)

(2)反应类型:X     反应;Y     反应;

(3)物质的结构简式:A:        ;B2      ;C2       

试题详情

6.煤的气化和液化是使煤变成清洁能源的有效途径.煤气化的主要反应是:C+H2O(g) CO+H2,CO和H2的混合气体是合成多种有机物的原料气.下图是合成某些物质的路线.

其中,D易溶于水,且与CH3COOH互为同分异构体;F分子中的碳原子数是D的3倍;H经催化氧化可得到G.请回答下列问题:

(1)写出下列物质的结构简式:

A_____________、H______________;指出A和H的关系:____________________.(2)写出下列反应的化学方程式:

CH3COOH+E→F_______________________________________________________;

D与新制Cu(OH)2共热___________________________________________________.

试题详情

5.一卤代烃RX与金属钠作用,可增加碳链制高级烷,反应如下:2RX+2NaR-R+2NaX   试以苯、乙炔、Br2、HBr、钠主要原料,制取

试题详情

3.在金属锂和碘化亚铜存在的条件下,卤代烃间发生反应生成一种新的烃,如:

把下列各步变化中的有机产物的结构简式填入方框中:

试题详情

2.已知:①R--

②苯环上原有的取代基对新导入的取代基进入苯环的位置有显著影响.

用苯作原料制备一系列化合物的转化关系图:

(1)A转化为B的化学方程式是______________________________________________。

(2)图中“苯→①→②”省略了反应条件,请写出①、②物质的结构简式:

①________________________,②_______________________________。

(3)B在苯环上的二氯代物有   种同分异构体。

(4)有机物的所有原子       (填“是”或“不是”)在同一平面上。

试题详情

1.以水、空气、乙烯为原料来制取乙酸乙酯(可以使用催化剂)?

试题详情

①每一步的反应都要符合反应规律或信息提示,不能杜撰;

②确定反应中官能团及它们互相位置的变化;

③确定反应先后顺序时注意能否发生其它反应如酯在NaOH溶液中水解时,是否有苯酚生成,把C=C氧化时是否有-CHO存在,使用氧化剂时是否存在还原性基团如-NH2等;

④反应条件的正确选择;

⑤题中所给予的信息往往起到承上启下的关键作用,一定要认真分析,信息与反应物、生成物、中间产物的关系,从中得到启示。

试题详情

3.信息给予合成题

本题型的主要特点:除给出主要原料和指定合成物质外,还给予一定的已知条件和信息。该题型已成为当今高考的热点。解这一类题应注意三点:一是认真审题,获取信息;二是结合问题;三是依据信息,应变创新。

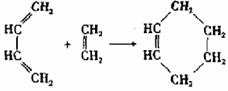
例3:环己烯可以通过丁二烯与乙烯发生环化加成反应得到:

 (也可表示为:+║→)

实验证明,下列反应中反应物分子的环外双键比环内双键更容易被氧化:

现仅以丁二烯为有机原料,无机试剂任选,按下列途径合成甲基环己烷:

请按要求填空:

(1)A的结构简式是 ;B的结构简式是

(2)写出下列反应的化学方程式和反应类型:

反应④                     ,反应类型    

反应⑤                     ,反应类型      

试题详情


同步练习册答案