0  254527  254535  254541  254545  254551  254553  254557  254563  254565  254571  254577  254581  254583  254587  254593  254595  254601  254605  254607  254611  254613  254617  254619  254621  254622  254623  254625  254626  254627  254629  254631  254635  254637  254641  254643  254647  254653  254655  254661  254665  254667  254671  254677  254683  254685  254691  254695  254697  254703  254707  254713  254721  447090 

25. The public      of the environmental problem will make the government take it seriously.  

A. awareness      B. revolution    C. existence    D. evidence

试题详情

24. - Why isn't Cathy here yet?  

- She      to be picked up at the station.

A. could wait     B. must wait    C. might be waiting D. can be waiting

试题详情

23. I'm interested in a one-bed room. Do you have any     ? 

A. convenient     B. available    C. possible     D. personal

试题详情

22. Isn't it lovely to think that I      myself on the sunny beach tomorrow at this time?

A. will enjoy     B. am enjoying   C. will be enjoying D. shall enjoy

试题详情

21. I was told that      10:15 flight would take us to Shanghai in time to reach     Fudan University.   

A. the; 不填      B. the; a      C. a; the      D. 不填; the

试题详情

30.(15分)以石油裂解得到的乙烯和1,3-丁二烯为原料,经过下列反应合成高分子化合物H,该物质可用于制造以玻璃纤维为填料的增强塑料(俗称玻璃钢)。

 

请按要求填空:

(1)E用系统命名法命名为:________________。反应⑤的反应类型:____________________。

物质G的分子式是______________________________。

(2)反应②的化学方程式是______________________________________________。

(3)反应③、④中有一反应是与HCl加成,该反应是________(填反应编号),设计这一步反应的目的是_________________________,物质C的结构简式是_______________________。

试题详情

29.(15分)某同学为了测定三聚氰胺的分子式和结构简式,设计了如下实验:

查阅资料:三聚氰胺的相对分子质量为126,三聚氰胺在常温下呈晶体,在加热条件下能与氧气发生反应生成二氧化碳、氮气和水。取12.6 g的三聚氰胺晶体按如图装置进行实验(假设三聚氰胺完全反应转化成产物)。

(1)写出A装置中发生反应的化学方程式:             。(一个即可)。

(2)当C装置中反应完全发生后,读取H中水的体积的实验操作顺序为      。(填序号)

①读数   ②冷却至室温   ③调平G、H装置中的液面

(3)测定数据如下:

装置
E
F
实验前
101.0 g
56.0 g
实验后
106.4 g
69.2 g

经测定,G中收集的气体折合标准状况下的体积为6.72 L。

①利用上述实验数据,计算三聚氰胺的实验式为              

②三聚氰胺的分子式为              

③若D装置选用下列材料代替铜网,可选用    (填序号)

A. CuO       B. Mg       C. Ag        D. C

(4)已知氢氰酸(HCN)的结构简式为H-C≡N,三聚氰胺分子类似于苯分子结构,每个原子最外层电子数均达到8电子或2电子结构,试写出其结构简式:           

(5)三聚氰胺分子中所有原子     (填是、否)共平面。

试题详情

142.9 kJ的热量,写出该反应的热化学方程式:        

(3)反应③在一定条件下为可逆反应,经过一段时间该反应达到

平衡,写出该反应的化学方程式:               

若将3 mol甲和4 mol C混合充入容积为2 L的密闭容器中,2分钟后,达到平衡。平衡后混合气总物质的量为6 mol,甲的化学反应速率为         。将该平衡混和物缓慢通入水中得到1L溶液,所得溶液物质的量浓度是____________。

试题详情

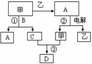
28.(10分) A、B、C、D是由前18号元素组成的四种常见化合物,D为红棕色气体,甲、乙是两种单质,这些单质和化合物之间存在如下反应关系:

(1)上述转化过程中包含的反应类型为         

  a置换反应  b化合反应  c分解反应 d复分解反应

(2)乙在甲中燃烧,当有1 mol e转移,生成液态A时, 放出

试题详情

27.(20分)A、B、C、D是常见不同主族的短周期元素,它们的原子序数逐渐增大,其中只有一种是金属元素,C元素原子最外层电子数是D元素原子最外层电子数的一半,B元素原子的最外层电子数比D的最外层电子数少两个。E、F也是短周期元素,E与D同主族,F与A同主族。

(1)写出F2E2的电子式           。其中化学键类型为__________________。

(2)A 、 E 、 F 三种元素可形成一种离子化合物 R ,用惰性电极电解 R 的稀溶液的化学反应方程式为_________________________________;电解一段时间后,溶液 pH_____(填“增大”、“减小”或“不变”)。

(3)六种元素中的三种组成的易溶于水的酸性物质中,能促进水电离的物质M是     (写化学式,写一个即可,下同),能抑制水电离的物质N是     。25℃时,pH=a的M溶液中水电离出的H+浓度与pH=a的N溶液中水电离出的H+浓度之比为        。 

(4)甲、乙、丙分别是B、C、D三种元素最高价含氧酸的钠盐,甲、乙都能与丙发生反应,且丙用量不同,反应的产物不同。回答问题:

①向乙溶液中缓慢滴加过量的丙溶液过程中发生反应的离子方程式             

②向甲溶液中缓慢滴加过量的丙溶液,所观察到的实验现象为                

试题详情


同步练习册答案