0  264592  264600  264606  264610  264616  264618  264622  264628  264630  264636  264642  264646  264648  264652  264658  264660  264666  264670  264672  264676  264678  264682  264684  264686  264687  264688  264690  264691  264692  264694  264696  264700  264702  264706  264708  264712  264718  264720  264726  264730  264732  264736  264742  264748  264750  264756  264760  264762  264768  264772  264778  264786  447090 

28.Equipped with modern facilities,today’hospitals are quite different from     of the past

A.that       B.those       C one          D.ones

29 Why not get some work experience first     go straight on to university?

A rather than     B.or rather      C.other than      D more than

30 Memories of her staying with her host family in China often    to the mind of the Italian

exchange student.

A.call up      B.hold back     C.bring up       D.come back

31 Our game of basketball   .We had been playingfor about half an hour when it started to

rain heavily.

A.has interrupted             B.had interrupted

C was intenrrupted             D.had been interrupted

试题详情

26.Various experiments have been carried out to     the proper way to raise children.

  A make       B fight        C.work       D.seek

27A dozen ideas were considered     the architect decided on the design of the building

A.be;fore     B.because      C.whether       D.unless

试题详情

25.It’s     me why Alice gave up her job and got married.

A under       B.above      C.over       D beyond

试题详情

  第一节:单项选择(共15题;每小题1分,满分15分)

   从A、B、C、D四个选项中,选出可以填入空白处的最佳选项,并在答题卡上将相应的字母涂黑。

21 We should realize    valuable health is to each of us.

   A.that       B how        C.such       D.what

22一Can we meet to morrow afternoon?

一Not in the afternoon,I’m afraid I    

A.will be working  B.will work     C.am going to work   D.am about to work

23一The woman biologist stayed in Africa studying wildlife for 13 years before she returned to her country.

   -Oh,dear!She     a lot of difficulties.

   A.may go throuth           B.might go through

C.must have gone through        D  ought to have gone through

24.-Tom。how about going for a picnic this weekend?

     ,I love getting close to nature.

A.I’m afraid not          B.I couldn’t agree more

C.It’s well done          D.I don’t think so

试题详情

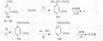
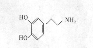
29.(14分)快乐是什么?医学专家通过实验发现:在大脑的相应部位“奖赏中心”,给予柔和的电击.便会处于似乎极度快乐的状态。人们已经将“奖赏中心”个部分的脑电图绘制出来,并认为,在各区域之间传递信息的化学物质是多巴胺,所以“奖赏中心”又称为多巴胺系统。多巴胺结构为:

(1)多巴胺分子式:       

(2)多巴胺可由香兰素合成,合成过程表示如下:

反应①属于--反应,该反应的化学方程式是:        

(3)A的结构简式是:        ,A中含有的官能团是:       

(4)请写出符合下列要求的香兰素的同分异构体

①苯环上只有两个互为对位的取代基

②可以与FeCl3溶液发生显色反应,但不可发生银镜反应

③可以发生水解反应生成两种化合物

                                       30(14分)为了验证甲状腺激素的生理功能,某学习小组设计了以下实验,请分析回答。

实验方法与步骤:

第一步:将体重、日龄、生理状态相同的雄性健康成年大白鼠平均分为两组,分别标记甲和乙。

第二步:将甲组鼠的甲状腺摘除并缝合伤口,乙组鼠不做任何处理。在相同的适宜条件下饲养一段时间,分别测得甲、乙两组鼠的平均耗氧量,记录为A、B。

第三步:除正常饲喂外,每日用灌胃器给甲组鼠灌喂一定量生理盐水配制的甲状腺激素溶液,乙组鼠灌喂等量的生理盐水溶液,在相同的适宜条件下饲养一段时间,分别测定甲、乙两组大白鼠的平均耗氧量,并记录为C、D。

 (实验提示:手术对鼠耗氧量的影响忽略不计)

 实验结果与分析:

   (1)大白鼠的耗氧量A    C(填“<”、“>”或“=”),实验鼠耗氧量的大小主要与        (生理过程)有关,说明甲状腺激素具有促进          

           的生理功能。

   (2)在上述实验中,起对照作用的是         组鼠。

   (3)除上面涉及的生理作用以及提高神经系统的兴奋性外,甲状腺激素还具有 

   生理作用,若通过实验(不考虑手术)证明这一点,最好选用下列四种生物中的

            作为材料,原因是       

   A白鼠   B.青蛙   C.蝌蚪   D兔

31(28分)

  I(14分)某植物的气孔是由叶片表皮上成堆的保卫细胞及其之间的孔隙组成的。它是植物与外界进行气体交换的门户和控制蒸腾作用的结构。下图是气孔张开的调节机理,情分析回答:

  (1)由图可知,引起气孔张开的主要非生物因素之一是         

  (2)晴朗的夏天中午,保卫细胞     (填“吸水”或“失水”),其生理意义是

           ;这会导致保卫细胞和叶肉细胞中C5化合物含量    

  (3)将该植物叶片放入pH=7(此条件下淀粉水解酶活性增高)的溶液中,气孔会    

   若将其放人0.35/mL的蔗糖溶液中,气孔会       

  (4)该植物花瓣中花青素在酸性时呈红色,碱性时呈蓝色,则上午花瓣上的气孔张开时,保卫细胞中的花青素呈       色。

Ⅱ(14分)有一种植物,其花色(白色、蓝色和紫色)是由常染色体上的两对独立遗传的等位基因(A和a、B和b)控制,下图为该植物的花色控制过程。请分析回答。

(1)图中的基因A控制酶1合成的信息传递过程是        

(2)从该植物中直接分离出基因A并成功导人大肠杆菌,但该大肠杆菌不能合成酶1,原 

  因是基因A编码区中含有      ,导致基因不能表达。

(3)现选用白花植株,其线粒体导人抗病基因,与蓝花植株杂交,F,全为抗病紫花植株, 

  则父本和母本控制花色的基因型分别是        。用F1中雌雄植株相互

  杂交,F2的花色表现型及其比例为       

(4)该种植物通常为窄叶,现发现种群中生长着少数阔叶植株。有人认为阔叶性状是基因

  突变所致,也有人认为阔叶植株是多倍体,具有多倍体的特点。请设计一个最简单的实

  验来鉴定阔叶性状的出现是基因突变所致,还是染色体组加倍所致?

广西省柳州二中2010届高中毕业班第三次模拟考试

试题详情

25.(20分)如图所示,在直角坐标系xoy的第二象限中,有方向沿x轴正向的匀强电场E;在第一象限中,边界OM和y轴之间有磁感应强度为B的匀强磁场,方向与纸面垂直,边界OM和x轴之间的夹角=37 0坐标系中有a、b、c、d四点,a、b点坐标分别为(-L,0)、(0,2L).现有一质量为m、电荷量为q的带电粒子(不计重力),由a点以v0初速度(方向沿y轴正向)射入电场,依次经过6点和c点,最后垂直x轴通过d点.(已知:sin370=0.6,cos370=0. 8)求:

(1)电场强度E的大小;

(2)磁感应强度B的大小和方向.

26 (16分)已知将浓盐酸滴入高锰酸钾溶液中,产生黄绿色气体,而溶液的紫红色褪去。现在一氧化还原反应的体系中,共有KCI、C12、H2SO4(浓)、H2O、KMnO4、MnSO4、K2SO4七种物质:

  (1)该氧化还原反应的体系中,还原剂是    ,化合价没有发生变化的反应物是  

  (2)写出一个包含上述七种物质的氧化还原反应方程式(需配平):  

  (3)如果在反应后的溶液中加入NaBiO3溶液又变为紫红色,BiO3-反应后变为无色的Bi3+该实验证明NaBiO3具有       性。写出该反应的离子反应方程式:     

上述反应中,每生成1 mol Bi3+移的电子数为      

27 (14分)已知X、Y、Z、W是短周期元素中的四种非金属元素,它们的原子序数依次增大。X、Y、Z的单质在常温下均为无色气体,Y原子的最外层电子数是内层电子数的2倍。

  (1)Z分子的电子式为:     ;Y的单质有多种,其中可以导电的一种是:   

  (2)在一定条件下,由x单质与z单质反应生成1molE放出的热量为46.2kJ,写出该反应的热 化学方程式:     ;E在催化剂存在的条件下,可用于还原汽车尾气

   中的       ,以减少对大气的污染。

  (3)仅由X、Z、W三种元素组成的某种盐是一种速效化肥,但长期施用会使土壤酸化,有关的离子方程式为        

  (4)工业上可用E的浓溶液来检验输送氯气的管道是否漏气,若漏气时可观察到大量白烟,同时有单质z生成,写出相应的化学方程式:   。该反应中被氧化的E与参与反应的E的质量之比为            

28 (16分)现有某铁碳合金,某化学兴趣小组为了测定铁碳合金中铁的质量分数,并探究浓硫酸的某些性质,设计了下图所示的实验装置和实验方案(夹持仪器已省略),请你回答相应问题。

I探究浓硫酸的某些性质 

  (1)按图示的连接装置,检查装置的气密性,称量E的质量。将mg铁碳合金样品放人A中,再加入适量的浓硫酸。仪器A的名称为        

  (2)未点燃酒精灯前,A、B均无明显现象,其原因是:       

  (3)点燃酒精灯一段时间后,A、B中可观察到明显的现象。B中的现象是    ,由此可得到浓硫酸具有        性。

(4)反应一段时间后,从A中逸出气体的速率仍然较快,除因温度较高,反应放热外,还可能的原因是          

Ⅱ测定铁碳合金中铁的质量分数

  (5)待A中不再逸出气体时,停止加热,拆下E并称重。E增重b g。

   铁碳合金中铁的质量分数为        (写表达式),若撤掉

   装置D,会造成测定结果       (填“偏高”、“不变’’或

   “偏低”)。

  (6)某同学认为上述方法较复杂,使用右图所示的装置和其它常用

   实验仪器测定某些数据即可。该同学的实验方案是:(只需简要

   写出操作步骤及需要测定的数据,不必计算)。       

试题详情

24.(18分)如图所示,有一个竖直固定在地面的透气圆筒,筒中有一轻弹簧,其下端固定,上端连接一质量为m的薄滑块,当滑块运动时,圆筒内壁对滑块有阻力的作用,阻力的大小恒为(g为重力加速度).在初始位置滑块静止,圆筒内壁对滑块的阻力为零,弹簧的长度为l.现有一质量也为m的物体从距地面2l处自由落下,与滑块发生碰撞,碰撞时间极短.碰撞后物体与滑块粘在一起向下运动,运动到最低点后又被弹回向上运动,滑动到初始位置时速度恰好为零,不计空气阻力.求:

(1)物体与滑块碰撞过程中,合力对物体的冲量的大小;

(2)碰撞后,在滑块向下运动到最低点的过程中弹簧弹力所做的功

试题详情

21.如图所示,为两个有界匀强磁场,磁感应强度大小均为口,方向分别垂直纸面向里和向外,磁场宽度均为L,距磁场区域的左侧L处,有一边长为L的正方形导体线框,总电阻为R,且线框平面与磁场方向垂直,现用外力F使线框以速度v匀速穿过磁场区域,以初始位置为计时起点,规定:电流沿逆时针方向时的电动势E为正,磁感线垂直纸面向里时磁通量的方向为正,外力F向右为正.则下列关于线框中的磁通量、感应电动势E、外力F和电

率P随时间变化的图象正确的是

22(18分)

(1)①在一次课外探究活动中,某同学用图甲所示装置测量放在水平光滑桌面上的铁块A于长金属板B间的动摩擦因数,已测出铁块A的质量为1kg,金属板B的质量为0.5kg,用水平力F向左拉金属板B,使其向左运动,稳定时弹簧秤示数如图所示(已放大),则A、B间的摩擦因数              (g取10m/s2)

②将纸带连接在金属板B,的后面,通过打点计时器连续打下一些计时点,测量后的结果如图乙所示,图中几个连续的计数点的时间间隔0.1s,由此可知水平里F=     N

(2)某同学用下列器材测量一电阻丝的点组Rx :电源E,适当量程的电流表、电压表各一只,滑动变阻器R,电阻箱Rp,开关S1、S2,导线若干。他设计的电路图如图(a)所示

实验步骤:先闭合S1,断开S2,调节R和RP,使电流表和电压表示数合理,记下两表示数为l1、U1;在保持R和Rp阻值不变,闭合S2,记下电流表和电压表示数为l2、U2

①          请按电路图在实物图(b)上连线(要求闭合S1前,华东滑动变阻器的滑动触头P处于正确的位置);

②          写出被测电阻RX            (用电表的示数表示)

③          此实验中因电流表有内阻,电压表内阻不是无限大,被测电阻的测量值   真实值(填“大于”、“小于”)

④          用图(a)电路、       测出电压表的内阻(填“不能”“能”)

23(16分)如图所示,传送带右端有一与传送带等高的光滑水平面,一行李包(可视为质点)以一定的初速度v0向左滑上传送带.传送带逆时针转动,速度为v=4m/s,且v<v0.已知行李包与传送带间的动摩擦因数=0.20,当传送带长度为L=12 m时,行李包从滑上水平传送带的右端到左端的时间刚好为t=2 s皮带轮与皮带之间始终不打滑.不计空气阻力,g取10 m/s2.求行李包的初速度vo 

试题详情


同步练习册答案