0  270921  270929  270935  270939  270945  270947  270951  270957  270959  270965  270971  270975  270977  270981  270987  270989  270995  270999  271001  271005  271007  271011  271013  271015  271016  271017  271019  271020  271021  271023  271025  271029  271031  271035  271037  271041  271047  271049  271055  271059  271061  271065  271071  271077  271079  271085  271089  271091  271097  271101  271107  271115  447090 

26.(本题共16分)

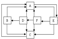
右图是某生物小组对一玉米田进行实地调查而绘制的该农田生态系统中部分成分之间的关系图。请回答下列问题:

(1)代表该生态系统中田鼠种群成分的是

      (填图中字母),若要调查该系统中

田鼠的种群密度,宜采用的方法是        

(2)为了提高玉米产量,常采用人工方法

来减少初级消费者。这样做的目的是为了  

                        

(3)对于玉米来说,一天中光合作用强度的最主要影响因素是光照强度,而CO2浓度的影响就微弱的多。这是因为                              

(4)该小组研究发现,上述农田中正常玉米的基因型为M_P_,其顶部开雄花,下部开雌花;基因型为mmP_的玉米不能开出雌花而成为雄株;基因型为M_pp或mmpp的玉米的顶端长出的是雌花而成为雌株(两对基因位于两对同源染色体上)。玉米的纯合雄株和雌株在育种中有重要的应用价值,在杂交育种时可免除人工去雄的麻烦。为了确保纯合雄株和雌株的杂交后代都是正常植株,那么选育出的符合生产要求的纯合雄株和雌株基因型分别为

               

(5)现有长果穗(A)白粒(b)和短果穗(a)黄粒(B)两个玉米杂合子品种,为了达到长期培育长果穗黄粒(AaBb)杂交种玉米的目的,请以遗传图解并简要说明的形式,设计杂交育种方案。

试题详情

25.(本题18分)

如图甲所示,偏转电场的两个平行极板水平放置,板长L=0.08m,板距足够大,两板的右侧有水平宽度l=0.06m、竖直宽度足够大的有界匀强磁场.一个比荷为的带负电粒子(其重力不计)以v0=8×105m/s速度从两板中间沿与板平行的方向射人偏转电场,进入偏转电场时,偏转电场的场强恰好按图乙所示的规律变化,粒子离开偏转电场后进入匀强磁场,最终垂直磁场右边界射出.求:

(1)粒子在磁场中运动的速率v

(2)粒子在磁场中运动的轨道半径R;

(3)磁场的磁感应强度B。

 

试题详情

24.((本题共16分)

如图所示,水平桌面上有一轻弹簧,左端固定在A点,弹簧处于自然状态时其右端位于B点。水平桌面右侧有一竖直放置的光滑圆弧形轨道MNP,其半径R=0.8m,OM为水平半径,P点到桌面的竖直距离也是R,∠PON=45°第一次用质量m1=1.1kg的物块(可视为质点)将弹簧缓慢压缩到C点,释放后物块停在B点(B点为弹簧原长位置),第二次用同种材料、质量为m2=0.1kg的物块将弹簧也缓慢压缩到C点释放,物块过B点后做匀减速直线运动,其位移与时间的关系为x=6-2t2(m),物块从桌面右边缘D点飞离桌面后,由P点沿圆轨道切线落入圆轨道。(g=10m/s2,不计空气阻力)

求: (1)BC间的距离。

     (2)m2由B运动到D所用时间。

     (3)物块m2运动到M点时,m2对轨道的压力。

试题详情

23.(本题共11分)

(1)(3分)在某一力学实验中,打出的纸带如图所示,相邻计数点的时间间隔是T。测出纸带各计数点之间的距离分别为S1、S2、S3、S4,为使由实验数据计算的结果更精确些,加速度的平均值为a=      ;打下C点时的速度vc=     

    (2)(8分)在“测定某电阻丝的电阻率”实验中

    ①用螺旋测微器测量一种电阻值很大的电阻丝直径,如图所示,则电阻丝的直径是   mm。

    ②用多用表的欧姆档粗测电阻丝的阻值,已知此电阻丝的阻值约为20kΩ。下面给出的操作步骤中,合理的实验步骤顺序是       (填写相应的字母)

    a.将两表笔短接,调节欧姆挡调零旋钮使指针对准刻度盘上欧姆档的零刻度,而后断开两表笔

    b.将两表笔分别连接到被测电阻丝的两端,读出阻值后,断开两表笔

    c.旋转选择开关,使其尖端对准欧姆档的x1K档

    d.旋转选择开关,使其尖端对准交流500V档,并拔出两表笔

    ③若用电流表和电压表精确测量此电阻丝的阻值,实验室提供下列可供选用的器材:

    电压表V(量3V,内阻约50kΩ)

    电流表A1(量程200μA,内阻约200Ω)

    电流表A2(量程5mA,内阻约20Ω)

    电流表A3(量程0.6A,内阻约1Ω)

    滑动变阻器(最大值500Ω)

    电源E(电动势4.5V,内阻约0.2Ω)

    开关S导线

    a.在所提供的电流表中应选用       (填字母代号)。  

b.在虚线框中画出测电阻的实验电路。

    ④根据测得的电阻丝的长度、直径和阻值,即可求出该电阻丝的电阻率。

试题详情

22.如图所示,相距为d的两条水平虚线L1、L2之间是方向水平向里的匀强磁场,磁感应强度为B,正方形线圈abcd边长为L(L<d),质量为m,电阻为R,将线圈在磁场上方高h处静止释放,cd边刚进入磁场时速度为v0,cd边刚离开磁场时速度也为v0,则下列说法正确的是  (   )

    A.线圈进入磁场的过程中,感应电流为顺时针方向

    B.线圈进入磁场的过程中,可能做加速运动

    C.线圈穿越磁场的过程中,线圈的最小速度可能为

    D.线圈从cd边进入磁场到ab边离开磁场的过程,感应

电流做的功为2mgd

第Ⅱ卷(必做120分+选做32分,共152分)

   第Ⅱ卷共16个小题。其中23-30题为必做部分, 31~38为选做部分,考生必须从中选2个物理、1个化学和1个生物题作答,多选、多做不计分。选做的题目,考生须将答案用黑色签字笔写在答题纸规定的位置,在试卷上答题无效。

[必做部分]

试题详情

21.如图所示,质量分别为mA、mB的两物块A、B叠放在一起,若它们共同沿固定在水平地面倾角为α的斜面匀速下滑。则(   )                                       (   )

    A.A、B间无摩擦力

    B.A、B间有摩擦力,且A对B的摩擦力对B做正功

    C.B与斜面间的动摩擦因数μ=tanα 

    D.B对斜面的摩擦力方向沿斜面向上

试题详情

20.如图所示,边长为2L的正方形虚线框内有垂直于纸面向里的匀强磁场,一个边长的L的正方形导线框所在平面与磁场方向垂直,导线框和虚线框的对角线重合。从t=0开始,使导线框从图示位置开始以恒定速度沿对角线方向移动进入磁场,直到整个导线框离开磁场区域。用I表示导线框中的感应电流,取逆时针方向为正。则下列表示I-t关系的图线中,可能正确的是(   )

试题详情

19.酒精测试仪用于机动车驾驶人员是否酗酒及其他严禁酒后作业人员的现场检测。它利用的是一种二氧化锡半导体型酒精气体传感器,酒精气体传感器的电阻随酒精气体浓度的变化而变化,在如图所示的电路中,不同的酒精气体浓度对应着传感器的不同电阻,这样,电压表的指针就与酒精气体浓度有了对应关系。如果二氧化锡半导体型酒精气体传感器电阻的倒数与酒精气体的浓度成正比,那么,电压表示数U与酒精气体浓度c之间的对应关系正确的是(   )

    A.U越大、表示c越大,c与U成正比

    B.U越大,表示c越大,但是c与U不成正比

    C.U越大,表示c越小,c与U成反比

    D.U越大,表示c越小,但是c与U不成反比

试题详情

18.如图虚线为均强电场中与场强方向垂直的等间距平行直线。两粒子M、N质量相等,所带电荷的绝对值也相等。现将粒子M、N从虚线上的O点以相同速率射出,两粒子在电场中运动的轨迹分别如图中两条实线所示。点a、b、c为实线与虚线的交点,已知O点电势低于c点。若不计重力,则

    A.M带正电荷,N带负电荷

    B.N在a点的速度与M在c点的速度大小相同

    C.N在从O点运动到a点的过程中克服电场力做功

    D.M在从O点运动至b点的过程中,电场力对它做的功等于零

试题详情

17.如图所示,理想变压器的原副线圈匝数比n1:n2=1:10,副线圈与阻值R=20Ω的电阻相连。原线圈两端所加的电压,则(   )

    A.副线圈输出交流电的频率为10Hz

    B.交流电压表的示数为20V

    C.电阻R上消耗的电功率为2kW

    D.原线圈中电流的最大值为100A

试题详情


同步练习册答案