0  274093  274101  274107  274111  274117  274119  274123  274129  274131  274137  274143  274147  274149  274153  274159  274161  274167  274171  274173  274177  274179  274183  274185  274187  274188  274189  274191  274192  274193  274195  274197  274201  274203  274207  274209  274213  274219  274221  274227  274231  274233  274237  274243  274249  274251  274257  274261  274263  274269  274273  274279  274287  447090 

20.(本小题满分14分)

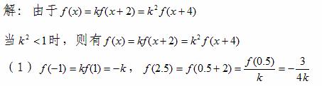
已知函数对任意实数均有,其中常数为负数,且在区间上有表达式.w_w w. k#s5_

(1)求的值;

(2)写出上的表达式,并讨论函数上的单调性;

(3)求出上的最小值与最大值,并求出相应的自变量的取值. w_w*w.k_s_

(2)当时,

时,

时,

f(x)=
 
  

  

c. 当

此时:

试题详情

19.(本题满分12分)

某营养师要求为某个儿童预订午餐和晚餐.已知一个单位的午餐含12个单位的碳水化合物,6个单位的蛋白质和6个单位的维生素C;一个单位的晚餐含8个单位的碳水化合物,6个单位的蛋白质和10个单位的维生素C.另外,该儿童这两餐需要的营状中至少含64个单位的碳水化合物和42个单位的蛋白质和54个单位的维生素C.

如果一个单位的午餐、晚餐的费用分别是2.5元和4元,那么要满足上述的营养要求,并且花费最少,应当为该儿童分别预订多少个单位的午餐和晚餐?

解:设为该儿童分别预订个单位的午餐和个单位的晚餐,设费用为F,则F,由题意知:

画出可行域:

变换目标函数:

试题详情

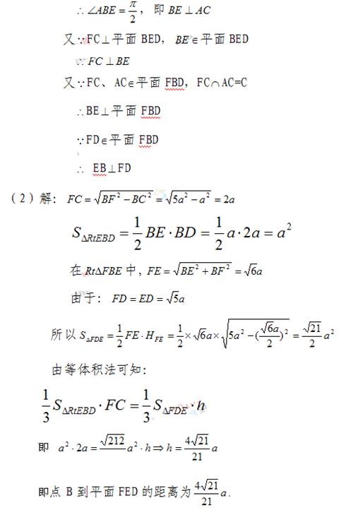
18.(本小题满分14分)

如图4,弧AEC是半径为的半圆,AC为直径,点E为弧AC的中点,点B和点C为线段AD的三等分点,平面AEC外一点F满足FC平面BED,FB=

(1)证明:EBFD

(2)求点B到平面FED的距离.

(1)证明:点E为弧AC的中点

   

试题详情

17.(本小题满分12分)

某电视台在一次对收看文艺节目和新闻节目观众的抽样调查中,随机抽取了100名电视观众,相关的数据如下表所示:

 
文艺节目
新闻节目
总计
20至40岁
40
18
58
大于40岁
15
27
42
总计
55
45
100

试题详情

16.(本小题满分14分)

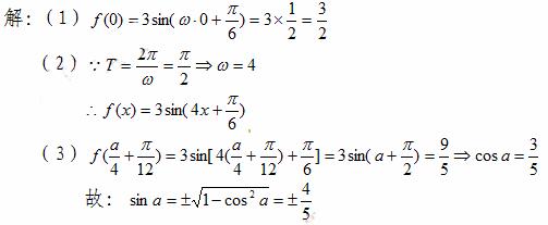
设函数,且以为最小正周期.

(1)求w_w(2)求的解析式;(3)已知,求的值.w_w*w.k_s_

试题详情

15.(坐标系与参数方程选做题)在极坐标系中,曲线的交点的极坐标为    .

试题详情

14.(几何证明选讲选做题)如图3,在直角

梯形ABCD中,DC∥AB,CB,AB=AD=,CD=,

点E,F分别为线段AB,AD的中点,则EF=  

解:连结DE,可知为直角三角形。则EF是斜边上的中线,等于斜边的一半,为.

试题详情

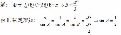
13.已知abc分别是△ABC的三个内角ABC所对的边,若a=1,b=A+C=2B,则sinA=      . w_w w. k#s5_

 

(二)选做题(14、15题,考生只能从中选做一题)

试题详情

12.某市居民2005-2009年家庭年平均收入x(单位:万元)与年平均支出Y(单位:万元)的统计资料如下表所示:w_w w. k#s5_

年份
2005
2006
2007
2008
2009
收入x
11.5
12.1
13
13.3
15
支出Y
6.8
8.8
9.8
10
12

根据统计资料,居民家庭年平均收入的中位数是  13   ,家庭年平均收入与年平均支出有

   Y=x-3   线性相关关系.

试题详情

(一)必做题(11~13题)

11.某城市缺水问题比较突出,为了制定节水管

理办法,对全市居民某年的月均用水量进行了

抽样调查,其中4位居民的月均用水量分别为

(单位:吨)。根据图2所示的程序框图,若分

别为1,1.5,1.5,2,则输出的结果   .

解析:

试题详情


同步练习册答案