0  274172  274180  274186  274190  274196  274198  274202  274208  274210  274216  274222  274226  274228  274232  274238  274240  274246  274250  274252  274256  274258  274262  274264  274266  274267  274268  274270  274271  274272  274274  274276  274280  274282  274286  274288  274292  274298  274300  274306  274310  274312  274316  274322  274328  274330  274336  274340  274342  274348  274352  274358  274366  447090 

5.如图,已知O是四边形ABCD内一点,OA=OB=OC,∠ABC =∠ADC =65°,

则∠DAO +∠DCO的度数是

 A.130°     B.230°    C.262.5°   D.165°

 

           第4题图             第5题图

试题详情

4.如图,在等边三角形中,的中点,,则和(不包含)相似的三角形有(   )

A.1个     B.2个     C.3个       D.4个

试题详情

3.小华拿一个矩形木框在阳光下玩,矩形木框在地面上形成的投影不可能是

 

      A          B          C          D

试题详情

2.下列运算正确的是

      A.         B.      

C.       D.

试题详情

1.的值是

A.-6     B.6     C.      D.9

试题详情

(17)(本小题满分l2分)

设数列满足

 (Ⅰ)求数列的通项公式:

 (Ⅱ)令,求数列的前n项和.

(18)(本小题满分12分)

  如圈,己知四棱锥P-ABCD的底面为等腰梯形,AB∥CD,⊥BD垂足为H,PH是四棱锥的高,E为AD中点.

(Ⅰ)证明:PE⊥BC

(Ⅱ)若==60°,求直线PA与平面PEH所成角的正弦值.

(19)(本小题满分12分)

  为调查某地区老年人是否需要志愿者提供帮助,用简单随机抽样方法从该地区调查了500位老年人,结果如下:

(Ⅰ)估计该地区老年人中,需要志愿者提供帮助的老年人的比例;

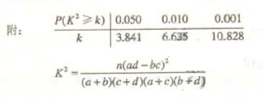
(Ⅱ)能否有99%的把握认为该地区的老年人是否需要志愿者提供帮助与性别有关?

(Ⅲ)根据(Ⅱ)的结论,能否提出更好的调查方法来估计该地区的老年人中,需要志愿者提供帮助的老年人的比例?说明理由.

(20)(本小题满分12分)

分别是椭圆E:(a>b>0)的左、右焦点,过斜率为1的直线l与E 相较于A,B两点,且,,成等差数列.

(Ⅰ)求E的离心率;

(Ⅱ)设点P(0,-1)满足,求E的方程.

(21)(本小题满分12分)

  设函数f(x)=.

(Ⅰ)若a=0,求f(x)的单调区间;

(Ⅱ)若当x≥0时f(x)≥0,求a的取值范围.

请考生在第(22)、(23)、(24)三题中任选一题做答,如果多做,则按所做的第一题记分.答时用2B铅笔在答题卡上把所选题目的题号涂黑.

(22)   (本小题满分10分) 选修4-1;几何证明选讲

如图,已知圆上的弧=,过C点的圆的切线与BA的延长线交于E点,证明:

(Ⅰ)=;

(Ⅱ);

(23)   (本小题满分10分)选修4-4;坐标系与参数方程

已知直线: (t为参数),圆:  (为参数),

(Ⅰ)当=时,求的交点坐标;

(Ⅱ)过坐标原点O作的垂线,垂足为A,P为OA的中点,当变化时,求P点轨迹的参数方程,并指出它是什么曲线;

(24)   (24) (本小题满分10分)选修4-5;不等式选讲

设函数f(x)=

(Ⅰ)画出函数y=f(x)的图像;

(Ⅱ)若不等式f(x)≤ax的解集非空,求a的取值范围.

试题详情

(13) 设y=f(x)为区间[0,1]上的连续函数,且恒有0≤f(x) ≤1,可以用随机模拟方法近似计算积分,先产生两组(每组N个)区间[0,1]上的均匀随机数,…,,…,,由此得到N个点()(i=1,2,…,N),在数出其中满足((i=1,2,…,N))的点数,那么由随机模拟方法可得积分的近似值为          .

(14)正视图为一个三角形的几何体可以是       .(写出三种)

(15)过点A(4,1)的圆C与直线相切于点  B(2,1).则圆C的方程为         .

(16)在中,D为边BC上一点,BD=DC,=120°,AD=2,若的面积为,则=     .

试题详情

(1)已知集合,则

(A)    (B)    (C)    (D)

(2)已知复数的共轭复数,则

(A)      (B)     (C)1       (D)2

(3)曲线在点处的切线方程为

(A)  (B)  (C)  (D)

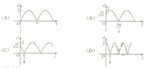
(4)如图,质点P在半径为2的圆周上逆时针运动,其初始位置为,角速度为1,那么点Px轴距离d关于时间t的函数图像大致为

(5)已知命题

:函数在R为增函数,

:函数在R为减函数,

则在命题中,真命题是

(A)   (B)   (C)    (D)

(6)某种种子每粒发芽的概率都为0.9,现播种了1000粒,对于没有发芽的种子,每粒需再补种2粒,补种的种子数记为X,则X的数学期望为

(A)100     (B)200     (C)300      (D)400

(7)如果执行右面的框图,输入,则输出的数等于

(A)

(B)

(C)

(D)

(8)设偶函数满足,则

(A)  (B)

(C)   (D)

(9)若是第三象限的角,则

(A)    (B)    (C)2      (D)

(10)设三棱柱的侧棱垂直于底面,所有棱的长都为a,顶点都在一个球面上,则该球的表面积为

(A)    (B)  (C) (D)

(11)已知函数abc互不相等,且,则abc的取值范围是

(A)    (B)  (C)  (D)

(12)已知双曲线E的中心为原点,F(3,0)是E的焦点,过F的直线l与E相交于A,B两点,且AB的中点为N(-12,-15),则E的方程为

(A)   (B)   (C)   (D)

第Ⅱ卷

本卷包括必考题和选考题两部分。第(13)题~第(21)题为必考题,每个试题考生都必须做答。第(22)题~第(24)题为选考题,考生根据要求做答。

试题详情

6. 配制溶质质量分数一定的氯化钠溶液实验

(1)实验步骤:

①____________________________________;

②____________________________________;

③____________________________________。

(2)主要仪器:____________________________________。

(3)若所得溶液中溶质的质量分数偏小,可能的原因是________________________。

试题详情

5. 物质的结晶

(1)结晶:溶液中的溶质以晶体的形式析出过程。

(2)结晶的方法:①蒸发溶剂法,适用于溶解度受温度影响_________的物质(如_________)的结晶;

②冷却热饱和溶液法,适用于溶解度受温度影响_________的物质(如_________)的结晶。

试题详情


同步练习册答案