0  274405  274413  274419  274423  274429  274431  274435  274441  274443  274449  274455  274459  274461  274465  274471  274473  274479  274483  274485  274489  274491  274495  274497  274499  274500  274501  274503  274504  274505  274507  274509  274513  274515  274519  274521  274525  274531  274533  274539  274543  274545  274549  274555  274561  274563  274569  274573  274575  274581  274585  274591  274599  447090 

19.(本小题满分12分)

(1)已知0<<,求函数=(1-)的最大值;

(2)已知>0,>0,且+=1,求+的最小值。

试题详情

18.(本小题满分12分)解下列不等式:

(1)|+-8|≤10        (2)     >0

试题详情

17.(本小题满分10分)(1)求证:a2 b+ a b2a3+b3(abR +);

(2)已知|h|<|k|<求证:|3h4k|<

试题详情

16.已知x >1,y >1,且满足x y =10,则lgx·lgy的最大值是     

试题详情

15.给出以下命题:①>  >;②a2>b2   a>b

+≥0   ++;④ |a+b|+|a-b|≥2|a|则正确的命题是     

试题详情

14.若-  <   <   <  ,则  -  的取值范围是     

试题详情

13.已知x2+y2=4,则xy的最大值等于     

试题详情

12.对任意实数x,若不等式|x+1|+|x-2|>k恒成立,则k的取值范围是

(A) k<1     (B) k≤1     (C) k<3     (D) k≤3

试题详情

11.设实数abc满足a+b+c=0且abc≠0,则必有

(A) abc<0    (B) abc>0     (C) ab+bc+ac<0    (D) ab+bc+ac>0

试题详情

10.下列各函数中,最小值为2的是

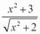
(A)=+       (B)=+∈(0,  )

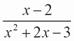
(C)=         博大琦 (D)=+ (>0且≠1)

试题详情


同步练习册答案