0  286985  286993  286999  287003  287009  287011  287015  287021  287023  287029  287035  287039  287041  287045  287051  287053  287059  287063  287065  287069  287071  287075  287077  287079  287080  287081  287083  287084  287085  287087  287089  287093  287095  287099  287101  287105  287111  287113  287119  287123  287125  287129  287135  287141  287143  287149  287153  287155  287161  287165  287171  287179  447090 

下图为北半球甲乙两地正午太阳高度变化示意图,分析回答9-10题。

9.图中a月为

A.3月         B.6月     C.9月     D.12月

10.若Y值为76.5o,则乙地纬度为

A.13.5oN       B.37oN     C.10oN        D.无法确定

下图为俯视图(虚线为晨昏线,实线为纬线,A、B两点经度差小于180o,P点为晨昏线中点)。

试题详情

  读右图,回答6-8题。

6.从A到B再到C,方向是

A.先向西南,再向东南       B.先向正南,再向东南

C.先向东南,再向西南       D.一直向正南

7.若D点所在经度为东径116o,与东径116o经线共同组成经线圈的另一条经线的经度是

A.东经64o      B.西经64o     C.西经116o        D.西经180o

8.若D点所在经度是东经116o,一架飞机从图中①点出发,起飞时当地区时是2009年9月8日16时,经过10个小时到达加拿大温哥华(西八区),此时温哥华的时间是

A.9月8日1时      B.9月8日23时        C.9月7日1时     D.9月8日10时

试题详情

为100米),L为河流,对角线为经线。据此回答4-5题。

4.图中河流L的流向为

A.从东流向西      B.从西南流向东北 

C.从西流向东      D.从东北流向西南

5.若X数值为500米,沿图中经线的地形剖面图是

 

 

试题详情

3.若P地19时太阳已落,Q地仍夕阳西下,这一季节

A.长江流域油菜花盛开       B.美国大平原麦翻金浪

C.潘帕斯草原绿野千里       D.尼罗河进入丰水期

读北半球某陆地局部图,右图中X、Y为等高线(等高距

试题详情

北京时间2009年3月1日16时,“嫦娥一号”卫星在航天飞行控制中心科技人员的精确控制下,准确落于月球东经52.36度、南纬1.50度的预定撞击点。据此完成1-2题。

1.科学家称“月球是一个绝佳的天文观测场地”, 其依据可能是

A.月球上昼夜交替周期长,适宜观测的时间长    B.月球的体积小、质量小、引力小

C.月球上天气状况稳定,便于观测            D.月球上没有灯光及人工无线电的干扰

2.“嫦娥一号”撞击月球留下的坑,将在月球表面保留上千年。其主要原因是

A.月球上没有风力、流水等外力的侵蚀现象

B.月球上没有风化现象

C.月球上没有大气,“嫦娥一号”对月球的撞击力大

D.月球内力作用表现微弱

  右图中a为纬线,P、Q两地经度相同,完成3题。

试题详情

(22)(本题满分10分) 选修4-1:几何证明选讲

如图,BA是⊙O的直径,AD是⊙O切线,C、E分别

为半圆上不同的两点,BC交AD于D,BE交AD于F。

(I) 求证:BE·BF=BC·BD。

(II) 若⊙O的半径,BC=1,求AD。

(23)(本题满分10分)选修4-4:坐标系与参数方程

设直角坐标系的原点与极坐标系的极点重合,轴正半轴与极轴重合。

已知圆C的极坐标方程:

(I)将极坐标方程化为普通方程。

(II)若点在圆C上,求的取值范围。

(24)(本题满分10分)选修4-5:不等式选讲

设函数

(I)当a=-5时,求函数的定义域。

(II)若函数的定义域为R,求实数a的取值范围。

 

 

 

 

试题详情

(17)(本题满分12分)

  已知函数

(I)求函数的单调增区间。 (II)求使成立的的取值集合。

(18)(本题满分12分)

 在△ABC中角A、B、C的所对边分别为a,b,c,且

(I)求值。 (II)若b=2,△ABC的面积S=3,求a值。

(19)(本题满分12分)

电信局根据客户不同需要,推出了A、B两种话费优惠方案,这两种方案,应付话费(元)与通话时间(分钟)之间的关系如下图所示(MN// CD)

(I)分别求出方案A和方案B的付话费表达式

(II)通话时间在什么范围内,方案B比方案A优惠?

 (III)方案B从500分钟后,每分钟收费多少元?

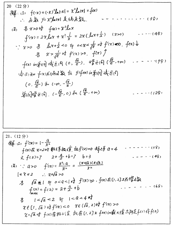
(20)(本题满分12分)

已知函数  ()

(I)判断函数的奇偶性。

(II)求函数的单调区间。

(21)(本题满分12分)

已知函数  (),a,bR。

(I)若时取得极小值为7,求a、b值。

(II)当a>0时,求函数在[1,2]上的最大值。

试题详情

(13)tan(-660°)=         

(14)设       

(15)命题P:函数有2个不同的零点;命题q:函数没有零点,若Pq为真命题,则m的取值范围

      

(16)若函数在其定义域上是单调函数,则a取值范围是      

试题详情

(1)设集合,集合则MUN=(  )

 A、       B、

C、         D、

(2)函数的最小正周期是(  )

 A、2      B、       C、       D、

(3)命题“若,则”的逆否命题是(  )

 A、若,则   B、若

 C、若    D、若

(4)已知             =(  )

 A、0       B、1       C、2        D、-1

(5)设角的终边上有一点,若(  )

 A、      B、     C、       D、

(6)下面给出四个命题(  )

 ①

 ②

其中真命题是

A、①、②     B、②、③    C、①、④    D、②、④

(7)设函数是定义在上的奇函数且在(0,+)上是减函数,若f(2)=0,记条件,条件那么条件P是条件q的(  )

A、必要而不充分条件    B、充分而不必要条件 

C、充要条件        D、既不充分也不是必要条件

(8)若A是△ABC的一个内角,且有则Sin A+ cos A(  )

A、   B、   C、   D、

(9)若幂函数的图像经过点A,则它在A点处的切线方程是(  )

A、   B、  C、  D、

(10)△ABC中角A、B、C的所对边长分别为a,b,c,若B=600+A且b=2a则角A等于(  )

A、120°    B、150°   C、60°   D、30°

(11)将函数的图像上各点的横坐标伸长到原来的2倍,(纵坐标不变),再向左平移个单位得函数,函数的一条对称轴为(  )

 A、     B、    C、    D、

(12)设函数的零点分别为的大小关系为(  )

A、   B、   C、   D、

第II卷

试题详情

29.2008年,中国之骄傲,世界之惊叹。江苏省某校高三(1)班师生以“世界的奥运,梦想的舞台”为主题,成立合作学习小组,开展探究性活动。北京奥运会开幕式后,第一小组成员在街头进行随机采访:

市民甲:太棒了!一幅卷轴在“鸟巢”中央徐徐打开,光影变幻中,展现出一幕幕风格各异、气势磅礴“中国画卷”,向世界立体展示了中华民族的历史底蕴与文化风采。

学生乙:和平、和睦、和谐,一个“和”字,表达了中国传统文化的精髓。

外国游客丙:富于创造性的开幕式,通过现代技术,将民族特色与奥林匹克精

神融合在一起,真是太神奇了!

运用《文化生活》有关知识,结合上述甲、乙、丙三人的观后感,你认为,北京奥运会开幕式是如何实现文化创新的?(12分)

试题详情


同步练习册答案