0  287350  287358  287364  287368  287374  287376  287380  287386  287388  287394  287400  287404  287406  287410  287416  287418  287424  287428  287430  287434  287436  287440  287442  287444  287445  287446  287448  287449  287450  287452  287454  287458  287460  287464  287466  287470  287476  287478  287484  287488  287490  287494  287500  287506  287508  287514  287518  287520  287526  287530  287536  287544  447090 

1. 下面是ATP在酶的作用下水解后的产物及释放的能量,表述正确的是

A.A-P~P+Pi+能量                   B.A-P-P+Pi+能量

C.A~P-P+Pi+能量                      D.A~P~P+Pi+能量

试题详情

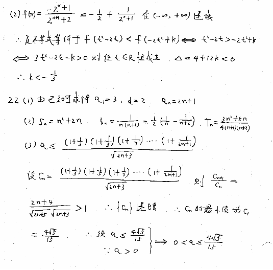
22.(满分12分)

已知等差数列的前n项和为,且

(1) 求的通项公式;

(2) 记,求数列的前n项和

(3) 对任意正整数n,不等式成立,求正数a的取值范围.

试题详情

21.(满分12分)

已知定义域为R的函数是奇函数,

(1) 求ab的值;

(2) 若对任意的,不等式恒成立,求k的取值范围.

试题详情

20.(满分12分)

已知函数的图象过点

(1) 求函数的解析式;

(2) 在数列中,已知(其中),求的通项公式.

 

试题详情

19.(满分12分)

已知,

(1) 求的值域;

(2) 若对任意的,函数的图象与直线有且仅有两个不同的交点,试确定的值,并求函数的单调递增区间.

试题详情

18.(满分12分)

已知△ABC的角A、B、C所对的边分别是abc,设向量

(1) 若,求证△ABC为等腰三角形;

(2) 若,边长,角,求△ABC的面积.

试题详情

17.(满分10分)

  给出两个命题:

  命题甲:关于x的不等式的解集为

  命题乙:不等式对任意恒成立,分别求出符合下列条件的实数a的取值范围。

(1) 甲、乙至少有一个是真命题;

(2) 甲、乙中有且只有一个是真命题。www.

试题详情

16.在△ABC中,O为中线AD上的一个动点,若AD=2,则的最小值是      

试题详情

15.设是首项为1的正项数列,且(),则它的通项公式为       

试题详情

14.已知关于x的方程有两个大于1的根,则k的取值范围是       

试题详情


同步练习册答案