0  288741  288749  288755  288759  288765  288767  288771  288777  288779  288785  288791  288795  288797  288801  288807  288809  288815  288819  288821  288825  288827  288831  288833  288835  288836  288837  288839  288840  288841  288843  288845  288849  288851  288855  288857  288861  288867  288869  288875  288879  288881  288885  288891  288897  288899  288905  288909  288911  288917  288921  288927  288935  447090 

28.(6分)标准状况下,700L NH3溶于1L水中,所得溶液密度为0.90g/mL。求氨水的质量分数与物质的量浓度。

试题详情

27.(8分)实验室里常见到右图所示仪器,该仪器为两头密封的玻璃管,中间带有一根玻璃短柄。该仪器可进行多项实验。当玻璃管内装有碘晶体时,用此仪器可进行碘升华实验,具有装置简单、操作方便、现象明显、没有污染,可反复使用等优点。

(1)用此仪器不能反复进行的实验是    (填序号)       

A.NH4Cl固体受热分解

B.KMnO4晶体受热分解

C.白磷和红磷一定温度下互相转变

D.无水CuSO4和胆矾的互变实验

(2)当玻璃管内装有NO2和N2O4的混合气体时,亦可反复进行反应条件对化学平衡影响的实验,该实验的操作过程和实验现象是                  

(3)如果玻璃管内装有大量红色溶液,加热时溶液颜色变浅,冷却时恢复红色,该溶液可能是            ;如果玻璃管内封有少量无色溶液,加热溶液时,溶液变红,冷却后恢复无色。此溶液可能是             

试题详情

26.(12分)为了证明铜与稀硝酸反应产生一氧化氮,某校学生实验小组设计了一个实验,其装置如下图所示(加热装置和固定装置均已略去),B为一个用金属丝固定的干燥管,内装块状碳酸钙固体;E为一个空的蒸馏烧瓶;F是用于鼓入空气的双连打气球。 (1)实验时,为在E烧瓶中收集到NO,以便观察颜色,必须事先除去其中的空气。其实验操作方法为:                                       。 如何确定E中空气已被赶尽:                                

(2)将A中铜丝放入稀硝酸中,给装置A微微加热,在装置A中产生无色气体,其

反应的离子方程式为                         

(3)如何证明E中收集到的是NO而不是H2                    

 一段时间后,C中白色沉淀溶解,其原因是                          

(4)装置D的作用是                

试题详情

25.(14分)在密闭容器中的可逆反应CO(g)+NO2(g) CO2(g)+NO(g)(正反应放热)达到平衡后:

(1)扩大容器体积,平衡     c(NO2)将     ,反应混合物的颜色    

(2)容器体积不变,升高温度平衡         ,体系的压强        

(3)加入催化剂,NO的物质的量      ,原因是             

试题详情

24.(8分)某可逆反应进行过程中,在不同反应时间

各物质的量的变化情况如图2-4所示。则该反应的化

学方程为             ;反应开始至2

分钟,能用C表示反应速率吗?       

(填“能”或“不能”),原因                        

试题详情

23.(8分)可逆反应aA(g)+bB(g)  cC(g)+dD(g),取a mol A和b mol B置于V L容器内1 min后,测得容器内A的浓度为x mol·L1,这时B的浓度为       ,C的浓度为        ,这段时间内反应的平均速率若以物质A的浓度变化来表示,应为        ,A的转化率为        (用字母表示)。

试题详情

22.T℃时,A气体与B气体反应生成C气体。反应过程中A、B、C浓度变化如图(Ⅰ)所示,若保持其他条件不变,温度分别为T1T2时,B的体积分数与时间的关系如图(Ⅱ)所示,则下列结论正确的是

 A.在(t1+10)min时,保持其他条件不变,增大压强,平衡向逆反应方向移动 

 B.(t1+10)min时,保持容器总体积不变,通入稀有气体,平衡向正反应方向移动

 C.T℃时,在相同容器中,若由0.3mol·L-1 A、0.1 mol·L-1 B和0.4 mol·L-1 C反应,达到平衡后,C的浓度仍为0.4 mol·L-1  

 D.其他条件不变,升高温度,正、逆反应速率均增大,且A的转化率增大 

金雁中学2008级10月考化学试题

选择题答题表

试题详情

21.V1L H2和V2L N2在一定条件下反应,反应达平衡后混和气体为V3L(都在同温同压下测得),则生成NH3的体积是

 A.V1+V2-V3    B.V1+V2+V3    C.2(V1+V2)-V3  D.无法计算  

试题详情

20.对可逆反应:A(g) + B(s)  C(s) + D(g);(正反应吸热)。下图所示为正逆反应速率(v)与时间(t)关系的示意图,如果在t1时刻改变以下条件:

 

①加入A;②加入催化剂;③加压;④升温;⑤减少C,符合图示的条件是

 A.②③         B.①②          C.③④         D.④⑤  

试题详情

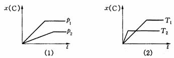
19.下图表示可逆反应mA(g)+nB(g)pC(g)在不同温度(T)、压强(p)下,生成物C的物质的量分数x(C)的变化情况.下列关于该正反应热效应及方程式中A、B、C的化学计量数的判断中,正确的是

 A.吸热反应,m+np             B.吸热反应,m+np  

 C.放热反应,m+np             D.放热反应,m+np  

试题详情


同步练习册答案