0  291143  291151  291157  291161  291167  291169  291173  291179  291181  291187  291193  291197  291199  291203  291209  291211  291217  291221  291223  291227  291229  291233  291235  291237  291238  291239  291241  291242  291243  291245  291247  291251  291253  291257  291259  291263  291269  291271  291277  291281  291283  291287  291293  291299  291301  291307  291311  291313  291319  291323  291329  291337  447090 

48.小红查阅到右图资料,图中记录了离某公路不同距离处种植的卷心菜中铅的含量。由改图推测:卷心菜内里叶片的铅可能直接来于      ,造成卷心菜外围叶片含铅量不同的重要原因     

答案:土壤(根系吸收);汽车尾气含铅,离公路距离不同,空气中含铅量不同

试题详情

27.(09年上海理综·10)(本题14分)铅是一种重金属,相对原子量为207。铅和铅的化合物有很多用途,如蓄电池等,但铅类化合物大多有毒,燃煤厂、金属冶炼厂等都有主要的铅污染源。铅一旦进入人体会累积,对人脑、肾脏和造血功能有损害。为了了解环境中的铅污染问题,小红他同学进行了如下的研究。

试题详情

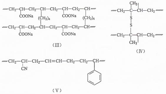
26.(09年浙江自选·15)“化学与生活”模块(10分)

丰富多彩的化学物质不断改变着人类的生活,它们所产生的作用与其结构密切相关。

(I)请根据以下化合物的分子结构,回答下列问题:

(1)上述化合物可能的应用是    

A. 化合物(Ⅰ)可作为制造聚四氟乙烯塑料的原料;化合物(Ⅱ)可用

B. 两者均可作为食品添加剂

C. 两者均可作为表面活性剂,起到乳化、增溶、消泡等作用

D. 两者均可用作中和胃酸的药物

(2)上述两个化合物进入环境后,更难被降解的是    

(Ⅱ)有三种高分子材料,结构单元如下:

请回答下列问题

(1)根据上述高分子结构,能够作为高吸水性树脂的是     ,其可能     ,可作为弹性像胶的是     ,理由是    

(2)有关上述高分子材料的下列说法正确的是     (可多选)。

A. 高分子(V)的单体有4种

B. 高分子(Ⅲ)焚烧后产生的废气毒性最小

C. 都能作为食品包装材料

D. 它们的废弃物都回收利用

答案:

(I)(1)①C   (2)②I

(Ⅱ)(1)③Ⅲ   ④结构单元中含有一COONa,

   ⑤Ⅳ   ⑥线型分子间含有二硫键(-S-S一)

  (2)⑦B、D

试题详情

25.(09年重庆理综·6)材料与化学密切相关,表中对应系错误的是

 
材料
主要化学成分
A
刚玉、金刚石
三氧化二铝
B
大理石、石灰石
碳酸钙
C
普通水泥、普通玻璃
硅酸盐
D
沙子、石英
二氧化硅

答案:A

试题详情

1.(09年浙江理综·7)下列说法正确的是

A.蛋白质、纤维素、蔗糖、PVC、淀粉都是高分子化合物

B.氢键在形成蛋白质二级结构和DNA双螺旋结构中起关键作用

C.使用太阳能热水器、沼气的利用、玉米制乙醇都涉及到生物质能的利用

D.石油、煤、天然气、可燃冰、植物油都属于化石燃料

答案:B

试题详情

23.(09年四川理综·6)开发新材料是现代科技发展的方向之一。下列有关材料的说法正确的是

A. 氮化硅陶瓷是新型无机非金属材料

B. C60属于原子晶体,用于制造纳米材料

C. 纤维素乙酸酯属于天然高分子材料

D. 单晶硅常用于制造光导纤维

答案:A

24.(09年天津理综·1)化学与生活密切相关,下列有关说法正确的是

A.维生素C具有还原性,在人体内起抗氧化作用

B.糖类、蛋白质、油脂属于天然高分子化合物

C.煤经气化和液化两个物理变化过程,可变为清洁能源

D.制作航天服的聚酯纤维和用于光缆通信的光导纤维都是新型无机非金属材料

答案:A

试题详情

22.(09年上海理综·14)生活中难免会遇到一些突发事件,我们要善于利用学过的知识,采取科学、有效的方法保护自己。如果发生了氯气泄漏,以下自救方法得当的是

A.只要在室内放一盆水

B.向地势低的地方撤离

C.观察风向,顺风撤离

D.用湿毛巾或蘸有石碱水的毛巾捂住口鼻撤离

答案:D

试题详情

21.(09年上海理综·11)茫茫黑夜中,航标灯为航海员指明了方向。航标灯的电源必须长效、稳定。我国科技工作者研制出以铝合金、Pt-Fe合金网为电极材料的海水电池。在这种电池中

①铝合金是阳极  ②铝合金是负极

③海水是电解液  ④铝合金电极发生还原反应

A.②③          B.②④

C.①②          D.①④

答案:A

试题详情

20.(09年上海化学·1)下列措施不能达到节能减排目的的是

A.利用太阳能制氢燃料             B.用家用汽车代替公交车

C.利用潮汐能发电                                 D.用节能灯代替白炽灯

答案:B

试题详情


同步练习册答案