0  294402  294410  294416  294420  294426  294428  294432  294438  294440  294446  294452  294456  294458  294462  294468  294470  294476  294480  294482  294486  294488  294492  294494  294496  294497  294498  294500  294501  294502  294504  294506  294510  294512  294516  294518  294522  294528  294530  294536  294540  294542  294546  294552  294558  294560  294566  294570  294572  294578  294582  294588  294596  447090 

3.方程的解为______;

试题详情

2.若复数满足:,则_____;

试题详情

1.若集合的子集只有两个,则实数_____;

试题详情

12.解:(1)放手时,ABC整体的加速度……3分

BC下降L时,整体的速度……………………………2分

经历的时间…………………………………………2分

(2)C被地面挡住后,AB整体以v匀速运动,所用时间

…………………………………………………………………………………2分

B落地后,A以v竖直向上做匀减速运动,加速度为g。

至速度减为零时,所用时间

上升高度      ………………………………………………2分

A从静止上升的高度……………………………1分 (3)作出A的速度--时间图象,如图所示。(4分)

试题详情

11.B(4分)       12.9.72(2分)  13.0.49(2分)  14.0.81(2分)

(1)0.72     (2)0.80   (3)偏小   (每空3分)

(1)设BC段飞机做匀速直线运动的速度大小为v,运动时间为t2,在AB段飞机做匀加速直线运动时间为t1,加速度大小为a。对于AB段,由平均速度的关系得到:

(v+0)/2=sAB/t1                         ………………………2分

对于BC段,由匀速直线运动的速度公式有:

v=sBC/t2                          ………………………2分

根据飞机10时56分40秒由A出发,11时准时通过C位置,则:

t1+t2=200 s                       ………………………2分

联立①②③,代入数据解得:

v=100 m/s         ………………………1分

(2)在AB段,由v12v02=2as      ………………………2分

得:a=v2/2sAB=1 m/s2   ………………………1分

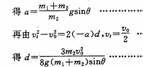
解:(1 )ml对斜面体的压力大小为(m1+m2)gcos  斜面体静止,水平方向合力为零,则地面给斜面体的摩擦力 f = (ml+m2)gcos sin  方向水平向左……………………………………………………………………5分

  (2)对ml进行分析,因相对斜面静止,故Ff’ =mlgsin

对m2应用牛顿第二定律得m2gsin+Ff=m2a` ……………………3分

…………2分
 

…………3分
 
 

试题详情

1.C 2.D 3.C 4.B 5.A 6.B 7.B 8.B 9.D 10.D

试题详情

16.(18分)两个宽度为d、质量为m的相同的小物块A、B,一带孔圆环C的质量为2m,半径为d,它们的厚度均可忽略。一不可伸长的轻质细绳绕过光滑的定滑轮,一端连接A物块,一端穿过圆环C的小孔连接B物块,如图所示。带孔圆环C着地后C不能继续向下运动,而B能离开C继续向下运动。现将A置于水平地面,距滑轮底端3L,BC距水平地面为L,在BC的正下方有一深、宽的凹槽。B、C落地后都不再弹起。

求:(1)开始运动后经多长时间带孔圆环C着地

(2)A物块在整个过程中上升的最大高度

(3)通过具体的计算分析,画出A物块在上升过程中的速度-时间(v-t)图象。

 

   

物理评分细则

试题详情

15、(13分)如图所示,倾角为的光滑斜面上放有一个质量为ml的长木板,当质量为m2的物块以初速度v0在木板上平行于斜面向上滑动时,木板恰好相对斜面体静止.已知物块在木板上上滑的整个过程中,斜面体相对地面没有滑动.求:

(1)物块沿木板上滑过程中,斜面体受到地面摩擦力的大小和方向;

 (2)物块沿木板上滑过程中,物块由速度v0变为时所通过的距离.

试题详情

13.( 9 分 )在做《研究匀变速直线运动》的实验时,某同学得到一条用打点计时器打下的纸带如图所示,并在其上取了A、B、C、D、E、F、G等7个计数点,每相邻两个计数点之间还有4个点,图中没有画出,打点计时器接周期为T=0.02s的交流电源。经过测量得:d1=3.62cm,d2=8.00cm,d3=13.2cm,d4=19.19cm,d5=25.99cm,d6=33.61cm。

 

(1)计算=_______________; (2)物体的加速度=____________; (3)如果当时电网中交变电流的频率是,而做实验的同学并不知道,那么加速度的测量值与实际值相比______________(选填:偏大、偏小或不变)。

  14.(10分)在国庆60周年阅兵式中,某直升机在地面上空

某高度A位置处于静止待命状态,要求该机10时56分40秒

由静止状态沿水平方向做匀加速直线运动,经过AB段加速后,进入BC段的匀速受阅区,11时准时通过C位置,如图所示。已知sAB=5 km,sBC=10 km,问:

(1)直升机在BC段的速度大小是多少?

(2)在AB段做匀加速直线运动时的加速度大小是多少?

试题详情

12.( 6 分)在做平抛实验的过程中,小球在竖直放置的坐标纸上留下三点痕迹,如图是小球做平抛运动的闪光照片,图中每个小方格的边长都是0.54cm,已知闪光频率是30Hz,那么重力加速度g=____ m/s2,小球的初速度是=____  m/s,球过A点时的速率是=____  m/s。

试题详情


同步练习册答案