0  295355  295363  295369  295373  295379  295381  295385  295391  295393  295399  295405  295409  295411  295415  295421  295423  295429  295433  295435  295439  295441  295445  295447  295449  295450  295451  295453  295454  295455  295457  295459  295463  295465  295469  295471  295475  295481  295483  295489  295493  295495  295499  295505  295511  295513  295519  295523  295525  295531  295535  295541  295549  447090 

1.下列关于人体内物质的说法正确的是

A.人体中的脂肪的主要作用是在饥饿时分解为甘油和脂肪酸用来合成糖元

B.蛋白质是含有P和S等元素的高分子化合物,通过细胞的方式是主动运输

C.葡萄糖是人体细胞中的重要供能物质,其根本来源是食物的消化吸收

D.DNA和RNA都含有矿质元素,都属于核酸,他们是人体细胞中的遗传物质

试题详情

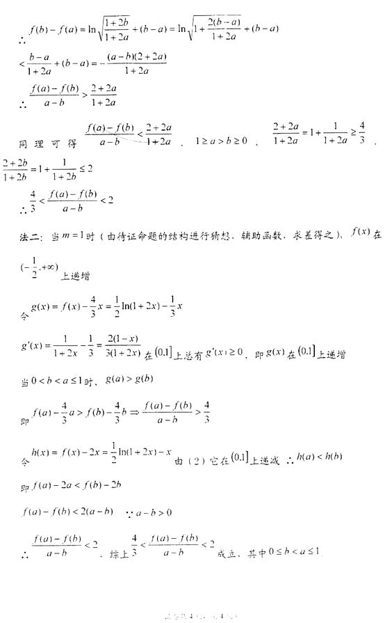
22、已知函数

(1)为定义域上的单调函数,求实数的取值范围

(2)当时,求函数的最大值

(3)当时,且,证明:

试题详情

21、已知函数

(1)若函数的值域为,求实数的取值范围;

(2)若,求的反函数

(3)若方程内有解,求实数的取值范围;

试题详情

20、设函数,数列满足

(1)求数列的通项公式。

(2)令,试比较的大小,并加以证明。

试题详情

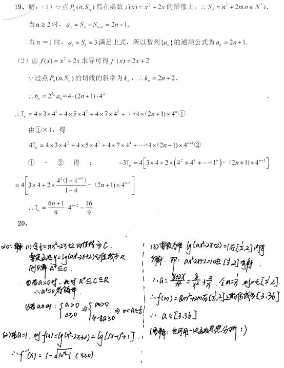
19、已知数列的前项和为,对一切正整数,点都在函数的图像上,且过点的切线的斜率为

 (1)求数列的通项公式.

 (2)若,求数列的前项和

试题详情

18、某公司在“2010年上海世博会知识宣传”活动中进行抽奖活动,抽奖规则是:在一个盒子中装有8张大小相同的精美卡片,其中2张印有“世博会欢迎您”字样,2张印有“世博会会徽”图案,4张印有“海宝”(世博会吉祥物)图案,现从盒子里无放回的摸取卡片,找出印有“海宝”图案的卡片表示中奖且停止摸卡.

(Ⅰ)求最多摸两次中奖的概率;

(Ⅱ)用表示摸卡的次数,求的分布列和数学期望.   

试题详情

17、已知函数的定义域集合是A,函数的定义域集合是B

(1)求集合A、B

(2)若的充分不必要条件,求实数的取值范围.

试题详情

16、设函数是定义域为R的奇函数,且满足对一切 恒成立,当时,

  ①是以4为周期的周期函数;

 ②上的解析式为

的图象的对称轴中有

处的切线方程为

上述命题中正确命题的序号是      .

试题详情

15、已知是定义在上的奇函数,且是以2为周期的周期函数,若当时,,则=   

试题详情

14、若实数满足,则____________.

试题详情


同步练习册答案