0  295378  295386  295392  295396  295402  295404  295408  295414  295416  295422  295428  295432  295434  295438  295444  295446  295452  295456  295458  295462  295464  295468  295470  295472  295473  295474  295476  295477  295478  295480  295482  295486  295488  295492  295494  295498  295504  295506  295512  295516  295518  295522  295528  295534  295536  295542  295546  295548  295554  295558  295564  295572  447090 

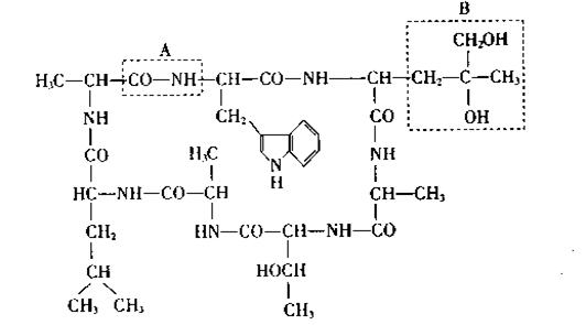
31.(10分)某致病细菌分泌的外毒素无色、细针状结晶,对小鼠和人体有很强的毒性,可引起流涎、呕吐、便血、痉挛等,最终导致死亡。该外毒索为环状肽,结构式如下图所

示。

请据图分析回答: 

  (1)该化合物中含有游离的氨基       个,游离的羧基      个。

  (2)组成该化合物的氨基酸有      种,其中重复出现的R基是      ,请写出氨基酸的结构通式          

  (3)该化合物称为       化合物,含有        个肽键。

  (4)B框所示的R基所构成的氨基酸的相对分子质量是         

  (5)该外毒素在环状肽形成过程中失去了    个水分子,相对分子质量减少了  

试题详情

30.利用细胞工程的方法,以SARS病毒核衣壳蛋白为抗原制备出单克隆抗体。下列相关叙述正确的是                           (   )

  A.用纯化的核衣壳蛋白反复注射到小鼠体内,产生的血清抗体为单克隆抗体

  B.体外培养单个效应B细胞可以获得大量针对SARS病毒的单克隆抗体

  C.将等量效应B细胞和骨髓瘤细胞混合,经PEG诱导融合后的细胞均为杂交瘤细胞

  D.利用该单克隆抗体与SARS病毒核衣壳蛋白特异性结合的方法可诊断出病毒感染者

试题详情

29.下列对人体细胞的生命历程的叙述,错误的是          (   )

   A.表皮细胞每天都会有细胞凋亡脱落

   B.细胞凋亡过程中的所有的基因都不表达

   C.衰老的细胞体积变小,但其细胞核会变大

   D.记忆细胞既有分化潜能又有细胞分裂能力

试题详情

28.下列有关细胞全能性的叙述,错误的是(   )

   A.植物细胞培养的实验原理是植物细胞的全能性

   B.受精卵和早期胚胎细胞都是具有全能性的细胞

   C.克隆羊的诞生,表明动物细胞也具有全能性

   D.细胞的全能性指的是已经分化的细胞,仍然具有发育成完整个体的潜能

试题详情

26.  右上图表示绿色植物体内某些代谢过程中物质的变化,A、B、C分别表示不同的代谢过程。以下表述正确的是        (   ) 

A. A中产生的O2,参与C的第二阶段

B. B在叶绿体类囊体上进行   

C.水参与C中第二阶段的反应

D.X代表的物质从叶绿体的基质移向叶绿体的基粒

第27题图
 
27、细胞增殖过程中 DNA含量会发生变化。通过测定一定数量细胞的 DNA含量,可分析其细胞周期。根据细胞 DNA含量不同,将某种连续增殖的细胞株细胞分为三组,每组的细胞数如右图。 从图中所示结果分析其细胞周期,不正确的是 (  ) 

 A.乙组细胞正在进行 DNA复制        

B.细胞分裂间期的时间比分裂期长

C.丙组中只有部分细胞的染色体数目加倍

D.将周期阻断在 DNA复制前会导致甲组细胞数减少

试题详情

25.某植物的光合作用和细胞呼吸最适温度分别为25℃和30℃,左下图为该植物处于25℃环境中光合作用强度随光照强度变化的坐标图。下列叙述正确的是  (   )

   A.a点时叶肉细胞的生理活动只受温度的影响

   B.b点时植物才开始进行光合作用

   C.若将温度从25℃提高到30℃时,a、d点均上移

   D.C点时该植物的O2产生量为V1-V2

 第26题图
 
 第25题图
 

试题详情

23.某种植物细胞在浓度分别为200 mmol·L-1和400 mmol·L-1的小分子物质M溶液中,细胞吸收M的速率都是10 mmol·min-1。对此结果最合理的解释是   (  )

   A.细胞吸收M的方式为自由扩散

   B.细胞吸收M的方式为主动运输

   C.细胞吸收M需要载体蛋白的参与

   D.吸收M物质时所需能量供应不足

第24题图
 
24.图甲表示四种不同的物质在一个动物细胞内外的相对浓度差异。其中通过图乙所示的过

  程来维持细胞内外浓度差异的物质是                 (   )

   A.Na+       B.K+      C.胰岛素     D.CO2

试题详情

22.人体内氢随化合物体内代谢转移的过程如右图所示。           下列分析合理的是 (  )

   A.①过程发生在核糖体中,图中的水不是自由水

   B.在缺氧的情况下,③过程中不会发生脱氢反应

   C.M物质是丙酮酸,④过程不会发生在线粒体中

第22题图
 
   D.在氧气充足的情况下,②③过程发生于线粒体中

试题详情

21.艾滋病(AIDS)是由感染HIV(艾滋病病毒)所引起的。下列说法中正确的是 (   )

   A.病毒作为最简单的生物也是以细胞为结构和功能的基本单位

   B.从结构上看,HIV的蛋白质外壳与细胞膜的功能相似,可以控制物质进出HIV

   C.病毒的生命活动离不开细胞是因为其必须在活细胞中增殖

   D.HIV的遗传物质也是DNA

试题详情


同步练习册答案