0  295805  295813  295819  295823  295829  295831  295835  295841  295843  295849  295855  295859  295861  295865  295871  295873  295879  295883  295885  295889  295891  295895  295897  295899  295900  295901  295903  295904  295905  295907  295909  295913  295915  295919  295921  295925  295931  295933  295939  295943  295945  295949  295955  295961  295963  295969  295973  295975  295981  295985  295991  295999  447090 

下图是经纬网图,O为南极点,MB为晨线,与70°纬线相切且与经线OA相交于M点,此时北京时间为10时。读图回答9--11题。

9.图中OA的经度是

A.30°W

B.150°W

C.30°E

D.150°E

10.图幅范围内,新一天的范围占

A.1/2      B.4/5

C.7/12     D.2/3

11.该季节

A.太阳直射点南移             B.春风又绿江南岸

C.M地科考员忙碌             D.长城内外麦收忙

试题详情

读某海域等深线简图,回答7--8题。

7.甲所在的板快边界类型是

A.消亡边界     B.海岭 

C.生长边界     D.断层

8.乙地位于      

A.亚欧板块       B.美洲板块

C.太平洋板块       D.印度洋板块

试题详情

读海水温度和盐度与海水密度关系图,回答5--6题。

5.海水的密度

A.与海水温度成正相关,与盐度成负相关

B.与海水温度成正相关,与盐度成正相关

C.与海水温度成负相关,与盐度成正相关

D.与海水温度成负相关,与盐度成负相关

6.推断下列四海区表层海水密度最小的是

A.南极海域

B.红海

C.赤道海区

D.副热带海区

试题详情

下图为垂直自然带与相应水平自然带理论上的对应关系图,读图回答3--4题。

3.与图中④甲所代表的自然景观类型分布相一致的地区是

A.巴西高原   B.西伯利亚地区

C.华北地区   D.江南丘陵

4.下列诗词最能体现①-④水平地域分异规律的是

A.人间四月芳菲尽,山寺桃花始盛开      B.夏秋天水一色,冬春草洲无边

C.才从塞北踏雪来,又向江南看杏花     D.春风先发苑中梅,樱杏桃李次第开

试题详情

右图为我国某区域图,读图回答1--2题。

1.有关该区域特征说法错误的是

A.河流流量主要随气温变化而变化

B.河流M有凌汛现象

C.粮食商品率高,人均耕地面积大

D.实木家具城R接近原料产地

2.N地退耕还沼的主要目的是

A.可进一步提供大量粮食

B.提供更多的旅游欣赏景观

C.为农业生产提供充沛灌溉水源

D.为区域可持续发展提供生态保障

试题详情

22、已知函数

(1)为定义域上的单调函数,求实数的取值范围

(2)当时,求函数的最大值

(3)当时,且,证明:

试题详情

21、已知函数

(1)若函数的值域为,求实数的取值范围;

(2)若,求的反函数

(3)若方程内有解,求实数的取值范围;

试题详情

20、设函数,数列满足

(1)求数列的通项公式。

(2)令,试比较的大小,并加以证明。

试题详情

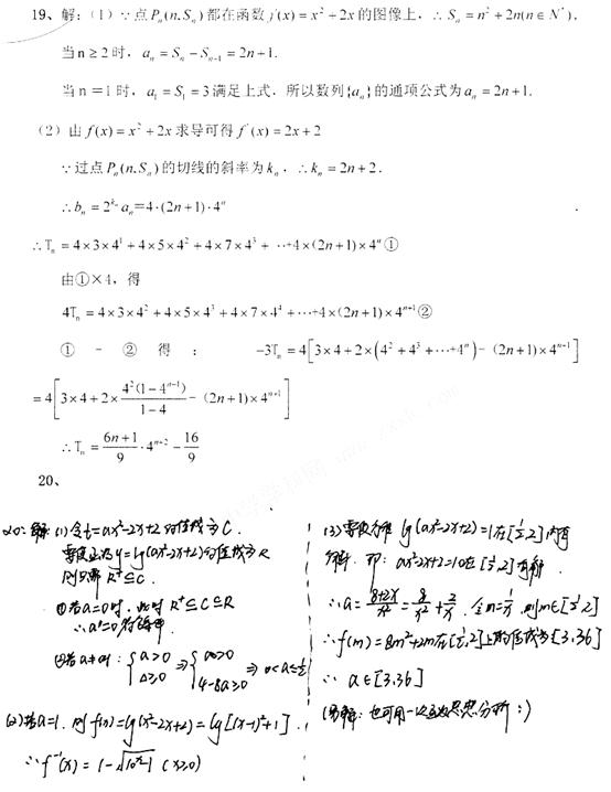
19、已知数列的前项和为,对一切正整数,点都在函数的图像上,且过点的切线的斜率为

 (1)求数列的通项公式.

 (2)若,求数列的前项和

试题详情

18、某公司在“2010年上海世博会知识宣传”活动中进行抽奖活动,抽奖规则是:在一个盒子中装有8张大小相同的精美卡片,其中2张印有“世博会欢迎您”字样,2张印有“世博会会徽”图案,4张印有“海宝”(世博会吉祥物)图案,现从盒子里无放回的摸取卡片,找出印有“海宝”图案的卡片表示中奖且停止摸卡.

(Ⅰ)求最多摸两次中奖的概率;

(Ⅱ)用表示摸卡的次数,求的分布列和数学期望.   

试题详情


同步练习册答案