0  313867  313875  313881  313885  313891  313893  313897  313903  313905  313911  313917  313921  313923  313927  313933  313935  313941  313945  313947  313951  313953  313957  313959  313961  313962  313963  313965  313966  313967  313969  313971  313975  313977  313981  313983  313987  313993  313995  314001  314005  314007  314011  314017  314023  314025  314031  314035  314037  314043  314047  314053  314061  447090 

23、 如图所示,ABBC均为轻杆,处在同一竖直平面内,AB杆高为h A、B、C三处均用铰接连接,其中A、C两点在同一水平面上,BC杆与水平面夹角为30°。一个质量为m的小球穿在BC杆上,并静止在BC杆底端C处,不计一切摩擦。现在对小球施加一个水平向左的恒力F=  mg,则当小球运动到BC杆的中点时,它的速度大小为      ,此时AB杆对B处铰链的作用力大小为      

试题详情

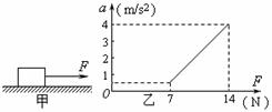
22、如图甲所示,物体原来静止在水平面上,用一水平力F拉物体,在F从0开始逐渐增大的过程中,物体先静止后又做变加速运动,其加速度a随外力F变化的图像如图乙所示。根据图乙中所标出的数据可计算出物体的质量为      kg,物体与水平面间的动摩擦因数为     

试题详情

21、倾角为=30°的斜面体放在水平地面上,一个重为G的球在水平力F的作用下,静止在光滑斜面上,则水平力F的大小为     ;若将力F从水平方向逆时针转过某一角度后,仍保持F的大小,且小球和斜面也仍旧保持静止,则此时水平地面对斜面体的摩擦力f     

试题详情

20、如图所示,叠放在一起的AB两绝缘小物块放在水平向右的匀强电场中,其中B带正电QA不带电;它们一起沿绝缘水平面以某一速度匀速运动。现突然使B带电量消失,A带上正Q的电量,则AB的运动状态可能为:(     )

A、一起匀速运动            B、一起加速运动

C、A加速,B减速        D、A加速,B匀速

试题详情

19、如图所示,甲、乙是两块完全相同的铜片,两者间水平距离足够远,现在甲的正下方放置一薄的强磁铁,乙的正下方放置一薄铁块,现将甲、乙拿至相同高度H处同时释放(铜片下落过程中不翻转),则以下说法正确的是:(     )

A、甲、乙同时落地,并都发出清脆的落地响声

B、乙较先落地,并发出清脆的落地响声

C、乙较后落地,几乎没有发出响声

D、甲较后落地,几乎没有发出响声

试题详情

18、如图所示,斜面上有abcd 四个点,abbccd,从a点以初动能EK0水平抛出一个小球,它落在斜面上的b点;若小球从 a 点以初动能 2EK0水平抛出,不计空气阻力,则下列判断正确的是:(     )

A、小球可能落在d点与c点之间  

B、小球一定落在c

C、小球落在斜面的速度方向与斜面的夹角一定增大

D、小球落在斜面的速度方向与斜面的夹角一定相同

试题详情

17、均匀长板可绕中点转动,当甲、乙两人分别站在板上A、B处时恰好能水平静止,如图所示,AO=2BO。若两人在板上同时开始做初速度为零的匀加速运动,板仍保持静止。则关于甲、乙两人的运动方向和加速度a1a2的大小,下列说法中正确的是:(    )

A、相向运动,a1a2=1︰4

B、相背运动,a1a2=2︰1

C、相向运动,a1a2=2︰1

D、相背运动,a1a2=4︰1

试题详情

16、先后用完全相同的橡皮条彼此平行地沿水平方向拉同一质量为m的物块,且每次使橡皮条的伸长量均相同,物块m在橡皮条的拉力作用下所产生的加速度a与所用橡皮条的数目n的关系如图所示,若更换物块所在水平面的材料,再重复这个实验,则图中直线与水平轴间的夹角将: (     )

A、变小       B、不变 

C、变大       D、与水平面的材料有关

Щ、多项选择题:

试题详情

15、如图虚线上方空间有匀强磁场,扇形导线框绕垂直于框面的轴O以角速度匀速转动,线框中感应电流方向以逆时针为正,则能正确表明线框转动一周感应电流变化情况的是:(     )

试题详情

14、如图所示是一实验电路图,在滑动触头由a端滑向b端的过程中,下列表述正确的是:(    )

A、电路的总电阻变大        B、电流表的示数变大

C、电源内阻消耗的功率变小     D、路端电压变小

试题详情


同步练习册答案