0  313903  313911  313917  313921  313927  313929  313933  313939  313941  313947  313953  313957  313959  313963  313969  313971  313977  313981  313983  313987  313989  313993  313995  313997  313998  313999  314001  314002  314003  314005  314007  314011  314013  314017  314019  314023  314029  314031  314037  314041  314043  314047  314053  314059  314061  314067  314071  314073  314079  314083  314089  314097  447090 

19、(2006沈阳中考)图1为A、B、C三种物质的溶解度曲线。

图1

请据图回答:

(1)t1℃时,A物质的溶解度是_______________;

(2)t2℃时,将A、B、C三种物质的饱和溶液;

①均恒温蒸发等质量的水,析出晶体由多到少的顺序为______________;

②均降温至t1℃,欲使A和C溶液中溶质的质量分数相等,则可以采取的一种措施是__________________。

答案:19、(1)25g   (2)①A>B>C  ②向C溶液中加C(或恒温蒸发C溶液或向A溶液中加水)

试题详情

35.(2006大连中考)(4分)根据下列实验报告回答问题:

活动与探究:

氢氧化钠溶于水后液体温度的变化

探究目的:

了解物质溶解前后液体温度变化情况:

学习测量液体温度变化的方法。

实验用品:

药匙、烧杯、玻璃棒、温度计、氢氧化钠固体、水。

操作过程(如下图所示)

①加适量水②加适量氢氧化钠③搅拌至完全溶解④测溶液温度

(1)使用氢氧化钠固体时必须注意安全,其原因是(  )。

(2)图示③中的操作存在一处错误,应改正为(  )。

(3)图示③中错误操作改正后,上述实验能否测得氢氧化钠固体溶解前后,液体温度的变化范围?为什么?

探究目的
了解物质溶解前后液体温度变化情况;学习测量液体温度变化的方法。
实验用品
药匙、烧杯、玻璃棒、温度计、氢氧化钠固体、水。 
操作过程
(如右图所示)

答案:35(4) (1)氢氧化纳具有腐蚀性(1) (2)使用玻璃棒搅拌(1) (3)不能(1),因为没有测量加入氢氧化钠固体前水的温度(1)

试题详情

21.(2006大连中考)A、B两种物质的溶解度曲线如图所示。

(1)A、B两种物质的溶解度相等时的温度为______℃

(2)B物质在t2℃时的溶解度(填“>”、“=”或“<”) ______在t1℃时的溶解度。

(3)某温度下,当A、B两种物质形成的溶液均接近饱和状态时,通过增加溶质、蒸发溶剂或降低温度的方法,都可以达到饱和状态的是____________物质形成的溶液。

答案:21(1)t1   (2)<  (3)A

试题详情

10.(2006大连中考)生活中的下列物质放入水中,能形成溶液的是(  )

A.蔗糖    B.纯水冰块  C.豆油   D.面粉

答案:B

试题详情

6.(2006大连中考)实验室里用氯化钾固体配制一定溶质质量分数的氯化钾溶液时,下列仪器中,不必用到的是(  )

A.托盘天平   B.烧怀  C.量筒  D.漏斗

答案:D

试题详情

23、(2006锦州中考)实验课上,老师把一小包铜粉和锌粉的混合物放入一定量的硝酸银溶液中,使其充分反应后过滤,得到固体和蓝色滤液。老师让同学们对滤液的组成进行探究。

 (1)同学们对滤液中所含的溶质做出了多种猜想,其中有两种猜想可能成立,这两种猜想是:

①溶质为________________;②溶质为________________。

(2)请你设计实验来验证这两种猜想。

实验操作
实验现象和结论
 
 

答案:23.(5分)(1)①硝酸锌和硝酸铜(1分) ②硝酸锌、硝酸铜和硝酸银(1分,①和②顺序可以颠倒)

 (2)(表述合理即可)

实验操作
实验现象和结论
取少量滤液于试管中,在滤液中插入一根铜丝(或铜片)(1分)
若铜丝表面无变化,证明猜想①(或②)成立(也可表述为若铜丝表面无变化,证明溶质为硝酸锌、硝酸铜)(1分)
若铜丝表面有银白色固体析出,证明猜想②(或①)成立(也可表述为若铜丝表面有银白色固体析出,证明溶质为硝酸锌、硝酸铜和硝酸银)(1分)

 或用下面的实验验证。

实验操作
实验现象和结论
取少量滤液于试管中,滴加几滴稀盐酸(或其他氯化物溶液)(1分)
若滤液无明显变化,证明猜想①(或②)成立(也可表述为若滤液无明显变化,证明溶质为硝酸锌、硝酸铜)(1分)
若有白色沉淀生成,证明猜想②(或①)成立(也可表述为若有白色沉淀生成,证明溶质为硝酸锌、硝酸铜和硝酸银)(1分)

试题详情

15、(2006锦州中考)图2是A、B、C三种固体物质的溶解度曲线。请回答下列问题:

(1)40℃时,C物质的溶解度是____g;

(2)60℃时,在100g水中加入90gA物质,充分溶解后,所得溶液的质量是____g;

(3)将80℃的A、B、C三种物质的饱和溶液分别冷却至室温,溶液中溶质的质量分数不发生变化的是____溶液。

答案:15.(1)60 (2)170 (3)C

试题详情

9、(2006锦州中考)下列说法正确的是( )

A.均一、稳定的液体一定是溶液

B.能跟碱发生中和反应的物质一定是酸

C.只含有一种元素的物质一定是一种单质

D.含有氧元素的化合物一定是氧化物

答案:B

试题详情

 例12 三个绝缘的不带电的相同的金属球A,B,C靠在一起,如图8-11所示,再将一个带正电的物体从左边靠近A球,并固定好,再依次拿走C球、B球、A球,问:这三个金属球各带什么电?并比较它们带电量的多少。

 [错解分析]错解:

 将带正电的物体靠近A球,A球带负电,C球带正电,B球不带电。将C,B,A三球依次拿走,C球带正电,B球不带电,A球带负电,QA=QC

 认为将C球拿走后,A,B球上所带电量不改变。其实,当C球拿走后,A,B球原来的静电平衡已被破坏,电荷将要重新运动,达到新的静电平衡。

 [正确解答]

 将带正电的物体靠近A,静电平衡后,A,B,C三球达到静电平衡,C球带正电,A球带负电,B球不带电。当将带正电的C球移走后,A,B两球上的静电平衡被打破,B球右端电子在左端正电的物体的电场的作用下向A运动,形成新的附加电场,直到与外电场重新平衡时为止。此时B球带正电,A球所带负电将比C球移走前多。依次将C,B,A移走,C球带正电,B球带少量正电,A球带负电,且A球带电量比C球带电量多。

|QA|=|QB|+|QC|

 [小结]

 在学习牛顿第二定律时,当外力发生变化时,加速度就要发生变化。这种分析方法不仅适用于力学知识,而且也适用于电学知识,本题中移去C球,电场发生了变化,电场力相应的发生了变化,要重新对物理过程进行分析,而不能照搬原来的结论。

 例13 如图8-12所示,当带电体A靠近一个绝缘导体B时,由于静电感应,B两端感应出等量异种电荷。将B的左端接地,绝缘导体B带何种电荷?

 [错解分析]错解:对于绝缘体B,由于静电感应左端带负电,右端带正电。左端接地,左端电荷被导走,导体B带正电。

 将导体B孤立考虑,左端带负电,右端带正电,左端接地后左边电势比地电势低,所以负电荷将从电势低处移到电势高处。即绝缘体B上负电荷被导走。

 [正确解答]

 因为导体B处于正电荷所形成的电场中,而正电荷所形成的电场电势处处为正,所以导体B的电势是正的,UB>U;而负电荷在电场力的作用下总是从低电势向高电势运动,B左端接地,使地球中的负电荷(电子)沿电场线反方向进入高电势B导体的右端与正电荷中和,所以B导体将带负电荷。

 例14 如图8-13所示,质量为m,带电量为q的粒子,以初速度v0,从A点竖直向上射入真空中的沿水平方向的匀强电场中,粒子通过电场中B点时,速率vB=2v0,方向与电场的方向一致,则A,B两点的电势差为:

 

 [错解分析]错解:带电粒子在电场中运动,一般不考虑带电粒子的重力,根据动能定理,电场力所做的功等于带电粒子动能的增量,电势差等于动能增量与电量Q的比值,应选D。

 带电粒子在电场中运动,一般不考虑带电粒子的重力,则粒子在竖直方向将保持有速度v0,粒子通过B点时不可能有与电场方向一致的2v0,根据粒子有沿场强方向的速度2v0,则必是重力作用使竖直向上的速度变为零。如一定不考虑粒子重力,这只有在电场无限大,带电粒子受电场力的作用,在电场方向上的速度相比可忽略不计的极限状态,且速度沿电场方向才能成立。而本题中v0与vB相比不能忽略不计,因此本题应考虑带电粒子的重力。

 [正确解答]

 在竖直方向做匀减速直线运动:2gh = v02

 

 根据动能定理

 

 [小结]

 根据初、末速度或者运动轨迹判断物体的受力情况是解决与运动关系问题的基本功。即使在电学中,带电粒子的运动同样也要应用这个基本功。通过这样一些题目的训练,多积累这方面的经验,非常必要。

 例15 置于真空中的两块带电的金属板,相距1cm,面积均为10cm2,带电量分别为Q1=2×10-8C,Q2=-2×10-8C,若在两板之间的中点放一个电量q=5×10-9C的点电荷,求金属板对点电荷的作用力是多大?

 [错解分析]错解:点电荷受到两板带电荷的作用力,此二力大小相等,方向相同,由

 库仑定律只适用于点电荷间相互作用,本题中两个带电金属板面积较大,相距较近,不能再看作是点电荷,应用库仑定律求解就错了。

 [正确解答]

 两个平行带电板相距很近,其间形成匀强电场,电场中的点电荷受到电场力的作用。

 

 [小结]

 如果以为把物理解题当作算算术,只要代入公式就完事大吉。那就走入了学习物理的误区。

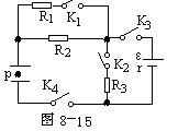
 例16 如图8-15电路中,电键K1,K2,K3,K4均闭合,在平行板电容器C的极板间悬浮着一带电油滴P,

 (1)若断开K1,则P将__________;

 (2)若断开K2,则P将________;

 (3)若断开K3,则P将_________;

 (4)若断开K4,则P将_______。

 [错解分析]错解:(1)若断开K1,由于R1被断开,R2上的电压将增高,使得电容器两端电压下降,则P将向下加速运动。

 (2)若断开K2,由于R3被断开,R2上的电压将增高,使得电容器两端电压下降,则P将向下加速运动。

 (3)若断开K3,由于电源被断开,R2上的电压将不变,使得电容器两端电压不变,则P将继续悬浮不动。

 (4)若断开K4,由于电源被断开,R2上的电压将变为零,使得电容器两端电压下降,则P将加速下降。

 上述四个答案都不对的原因是对电容器充放电的物理过程不清楚。尤其是充电完毕后,电路有哪些特点不清楚。

 [正确解答]

 电容器充电完毕后,电容器所在支路的电流为零。电容器两端的电压与它所并联的两点的电压相等。本题中四个开关都闭合时,有R1,R2两端的电压为零,即R1,R2两端等势。电容器两端的电压与R3两端电压相等。

 (1)若断开K1,虽然R1被断开,但是R2两端电压仍为零,电容器两端电压保持不变,则P将继续悬浮不动

 (2)若断开K2,由于R3被断开,电路再次达到稳定时,电容器两端电压将升高至路端电压R2上的电压仍为零,使得电容器两端电压升高,则P将向上加速运动。

 (3)若断开K3,由于电源被断开,电容器两端电压存在一个回路,电容器将放电至极板两端电压为零,P将加速下降。

 (4)K4断开,电容器两端断开,电量不变,电压不变,场强不变,P将继续悬浮不动。

 [小结]

 在解决电容器与直流电路相结合的题目时,要弄清楚电路的结构,还要会用静电场电势的观点分析电路,寻找等势点简化电路。

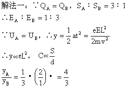
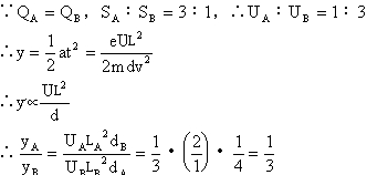
 例17 有两个带电量相等的平行板电容器A和B,它们的正对面积之比SA∶SB=3∶1,板长之比∶LA∶LB=2∶1,两板距离之比dA∶dB=4∶1,两个电子以相同的初速度沿与场强垂直的方向分别射入两电容器的匀强电场中,并顺利穿过电场,求两电子穿越电场的偏移距离之比。

 [错解分析]错解:

 

 把电容器的电压看成是由充电电量和两板正对面积决定而忽视了板间距离对电压的影响,所以电压比和偏离比都搞错了。

 [正确解答]

    

 [小结]

 高考中本题只能作为一道选择题(或填空题)出现在试卷上。很多考生为了腾出时间做大题,急急忙忙不做公式推导,直接用数字计算导致思考问题不全面,以至会做的题目得不到分。同时按部就班解题,养成比较好的解题习惯,考试时就会处变不惊,稳中求准,稳中求快。

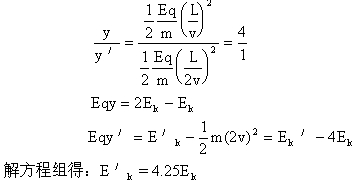
 例18 在平行板电容器之间有匀强电场,一带电粒子以速度v垂直电场线射入电场,在穿越电场的过程中,粒子的动能由Ek增加到2Ek,若这个带电粒子以速度2v垂直进入该电场,则粒子穿出电场时的动能为多少?

 [错解分析]错解:设粒子的的质量m,带电量为q,初速度v;匀强电场为E,在y方向的位移为y,如图8-16所示。

 认为两次射入的在Y轴上的偏移量相同。实际上,由于水平速度增大带电粒子在电场中的运动时间变短。在Y轴上的偏移量变小。

 [正确解答]

 建立直角坐标系,初速度方向为x轴方向,垂直于速度方向为y轴方向。设粒子的的质量m,带电量为q,初速度v;匀强电场为E,在y方向的位移为y。速度为2v时通过匀强电场的偏移量为y′,平行板板长为L。

 由于带电粒子垂直于匀强电场射入,粒子做类似平抛运动。

 

 两次入射带电粒子的偏移量之比为

 

 [小结]

 当初始条件发生变化时,应该按照正确的解题步骤,从头再分析一遍。而不是想当然地把上一问的结论照搬到下一问来。由此可见,严格地按照解题的基本步骤进行操作,能保证解题的准确性,提高效率。其原因是操作步骤是从应用规律的需要归纳出来的。

 例19 A,B两块平行带电金属板,A板带负电,B板带正电,并与大地相连接,P为两板间一点。若将一块玻璃板插入A,B两板间,则P点电势将怎样变化。

 [错解分析]错解:

 UpB=Up-UB=Ed

 电常数ε增大,电场强度减小,导致Up下降。

 没有按照题意画出示意图,对题意的理解有误。没有按照电势差的定义来判断PB两点间电势差的正负。

 [正确解答]

 按照题意作出示意图,画出电场线,图8-17所示。

 我们知道电场线与等势面间的关系:“电势沿着电场线的方向降落”所以UpB=Up-UB<0,B板接地UB=0

 UBp=UB-Up=0-Up

 Up=-Ed

 常数ε增大,电场强度减小,导致Up上升。

 [小结]

 如何理解PB间的电势差减小,P点的电势反倒升高呢?请注意,B板接地Up<0,PB间的电势差减小意味着Up比零电势降落得少了。其电势反倒升高了。

 例20、 1000eV的电子流在两极板中央斜向上方进入匀强电场,电场方向竖直向上,它的初速度与水平方向夹角为30°,如图8-18。为了使电子不打到上面的金属板上,应该在两金属板上加多大电压U?

 [错解分析]错解:

 电子流在匀强电场中做类似斜抛运动,设进入电场时初速度为v0

 

 因为电子流在电场中受到竖直向下电场力作用,动能减少。欲使电子刚好打不到金属板上有Vr=0,此时电子流动能

   

 电子流在电场中受到电场力作用,电场力对电子做功We= Fes = eEs其中s必是力的方向上位移,即d/2,所以We=eU,U是对应沿d方向电势降落。则电子从C到A,应对应We=eUAC,故上面解法是错误的。

 [正确解答]

 电子流在匀强电场中做类似斜抛运动,欲使电子刚好不打金属板上,则必须使电子在d/2内竖直方向分速度减小到零,设此时加在两板间的电压为U,在电子流由C到A途中,

 电场力做功We=EUAC,由动能定理

 

 

 至少应加500V电压,电子才打不到上面金属板上。

 [小结]

 动能定理是标量关系式。不能把应用牛顿定律解题方法与运用动能定理解题方法混为一谈。

 例21 如图8-19,一个电子以速度v0=6.0×106m/s和仰角α=45°从带电平行板电容器的下板边缘向上板飞行。两板间场强E= 2.0×104V/m,方向自下向上。若板间距离d=2.0×10-2m,板长L=10cm,问此电子能否从下板射至上板?它将击中极板的什么地方?

 [错解分析]错解:规定平行极板方向为x轴方向;垂直极板方向为y轴方向,将电子的运动分解到坐标轴方向上。由于重力远小于电场力可忽略不计,则y方向上电子在电场力作用下做匀减速运动,速度最后减小到零。

∵vt2-v02 = 2as

y= d= s vt= 0

 

 即电子刚好击中上板,击中点离出发点的水平位移为3.99×10-2(m)。

 为d,(击中了上板)再求y为多少,就犯了循环论证的错误,修改了原题的已知条件。

 [正确解答]

 应先计算y方向的实际最大位移,再与d进行比较判断。

 

  

 由于ym<d,所以电子不能射至上板。

 

 [小结] 因此电子将做一种抛物线运动,最后落在下板上,落点与出发点相距1.03cm。

 斜抛问题一般不要求考生掌握用运动学方法求解。用运动的合成分解的思想解此题,也不是多么困难的事,只要按照运动的实际情况把斜抛分解为垂直于电场方向上的的匀速直线运动,沿电场方向上的坚直上抛运动两个分运动。就可以解决问题。

 例22 一个质量为m,带有电荷-q的小物块,可在水平轨道Ox上运动,O端有一与轨道垂直的固定墙,轨道处于匀强电场中,场强大小为E,方向沿Ox轴正方向,如图8-20所示,小物体以初速v0从x0沿Ox轨道运动,运动时受到大小不变的摩擦力f作用,且f<qE。设小物体与墙碰撞时不损失机械能且电量保持不变。求它在停止运动前所通过的总路程s。

 [错解分析]错解:错解一:物块向右做匀减速运动到停止,有

 

 错解二:小物块向左运动与墙壁碰撞后返回直到停止,有W=△Ek,得

 

 错误的要害在于没有领会题中所给的条件f>Eq的含义。当物块初速度向右时,先减速到零,由于f<Eq物块不可能静止,它将向左加速运动,撞墙后又向右运动,如此往复直到最终停止在轨道的O端。初速度向左也是如此。

 [正确解答]

 设小物块从开始运动到停止在O处的往复运动过程中位移为x0,往返路程为s。根据动能定理有

 

 [小结]

 在高考试卷所检查的能力中,最基本的能力是理解能力。读懂题目的文字并不困难,难的是要抓住关键词语或词句,准确地在头脑中再现题目所叙述的实际物理过程。常见的关键词语有:“光滑平面、缓慢提升(移动)、伸长、伸长到、轻弹簧、恰好通过最高点等”这个工作需要同学们平时多积累。并且在做新情境(陌生题)题时有意识地从基本分析方法入手,按照解题的规范一步一步做,找出解题的关键点来。提高自己的应变能力。

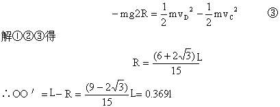
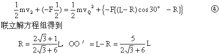
 例23 如图8-21所示,长为L的绝缘细线,一端悬于O点,另一端连接一质量为m的带负电小球,置于水平向右的匀强电场中,在O点向右水平拉直后从静止释放,细线碰到钉子后要使小球刚好饶钉子O′在竖直平面内作圆周运动,求OO′长度。

 [错解分析]错解:摆球从A落下经B到C的过程中受到重力G,绳子的拉力T和电场力F三个力的作用,并且重力和电场力做功,拉力不做功,由动能定理

 

 摆球到达最低点时,摆线碰到钉子O′后,若要小球刚好绕钉子O′在竖直平面内做圆周运动,如图8-22。则在最高点D应满足:

 从C到D的过程中,只有重力做功(负功),由机械能守恒定律

 

 考生以前做过不少“在重力场中释放摆球。摆球沿圆弧线运动的习题”。受到这道题思维定势的影响,没能分析出本题的摆球是在重力场和电场叠加场中运动。小球同时受到重力和电场力的作用,这两个力对摆球运动轨迹都有影响。受“最高点”就是几何上的最高点的思维定势的影响,没能分析清楚物理意义上的“最高点”含义。在重力场中应是重力方向上物体运动轨迹的最高点,恰好是几何意义上的最高点。而本题中,“最高点”则是重力与电场力的合力方向上摆球运动的轨迹的最高点。

 [正确解答]

 本题是一个摆在重力场和电场的叠加场中的运动问题,由于重力场和电场力做功都与路径无关,因此可以把两个场叠加起来看成一个等效力场来处理,如图8-23所示,

 ∴θ=60°。

 开始时,摆球在合力F的作用下沿力的方向作匀加速直线运动,从A点运动到B点,由图8-23可知,△AOB为等边三角形,则摆球从A到B,在等效力场中,由能量守恒定律得:

 在B点处,由于在极短的时间内细线被拉紧,摆球受到细线拉力的冲量作用,法向分量v2变为零,切向分量

 接着摆球以v1为初速度沿圆弧BC做变速圆周运动,碰到钉子O′后,在竖直平面内做圆周运动,在等效力场中,过点O′做合力F的平行线与圆的交点为Q,即为摆球绕O′点做圆周运动的“最高点”,在Q点应满足

 过O点做OP⊥AB取OP为等势面,在等效力场中,根据能量守恒定律得:

 

 [小结]

 用等效的观点解决陌生的问题,能收到事半功倍的效果。然而等效是有条件的。在学习交流电的有效值与最大值的关系时,我们在有发热相同的条件将一个直流电的电压(电流)等效于一个交流电。本题中,把两个场叠加成一个等效的场,前提条件是两个力做功都与路径无关。

第9单元 稳恒电流

 [内容和方法]

 本单元内容包括电流、产生持续电流的条件、电阻、电压、电动势、内电阻、路端电压、电功、电功率等基本概念,以及电阻串并联的特点、欧姆定律、电阻定律、闭合电路的欧姆定律、焦耳定律、串联电路的分压作用、并联电路的分流作用等规律。

 本单元涉及到的基本方法有运用电路分析法画出等效电路图,掌握电路在不同连接方式下结构特点,进而分析能量分配关系是最重要的方法;注意理想化模型与非理想化模型的区别与联系;熟练运用逻辑推理方法,分析局部电路与整体电路的关系

 [例题分析]

 在本单元知识应用的过程中,初学者常犯的错误主要表现在:不对电路进行分析就照搬旧的解题套路乱套公式;逻辑推理时没有逐步展开,企图走“捷径”;造成思维“短路”;对含有电容器的问题忽略了动态变化过程的分析。

 例1 如图9-1所示,ε1=3V,r1=0.5Ω,R1=R2=5.5Ω,平行板电容器的两板距离d=1cm,当电键K接通时极板中的一个质量m=4×10-3g,电量为q=1.0×10-7C的带电微粒恰好处于静止状态。求:(1)K断开后,微粒向什么方向运动,加速度多大?(2)若电容为1000pF,K断开后,有多少电量的电荷流过R2

 [错解分析]错解: 当电键K接通电路稳定时、电源ε1和ε2都给电容器极板充电,所以充电电压U=ε12

 带电粒子处于平衡状态,则所受合力为零,

F-mg = 0

 ε2=U-ε1=1(v)

 当电键K断开后,电容器上只有电源 给它充电,U′=ε2

 

 即带电粒子将以7.5m/s2的加速度向下做匀加速运动。

 又Q1=CU=103×10-12×4=4×109C

 Q′=CU′=103×10-12×1=1×10-9C

 △Q=Q-Q′=3×10-9C

 极板上电量减少3×10-9C,也即K断开后,有电量为3×10-9C的电荷从R2由下至上流过。

 在直流电路中,如果串联或并联了电容器应该注意,在与电容器串联的电路中没有电流,所以电阻不起降低电压作用(如R2),但电池、电容两端可能出现电势差,如果电容器与电路并联,电路中有电流通过。电容器两端的充电电压不是电源电动势ε,而是路端电压U。

 [正确解答]

  (1)当K接通电路稳定时,等效电路图如图9-2所示。

 ε1、r1和R1形成闭合回路,A,B两点间的电压为:

 

 电容器中带电粒子处于平衡状态,则所受合力为零,

 F-mg=0

 

 在B,R2,ε2,C,A支路中没有电流,R2两端等势将其简化,

U+ε2=UAB,ε2=U-UAB=1.25V

 当K断开电路再次达到稳定后,回路中无电流电路结构为图9-3所示。电容器两端电压U′=ε2=1.25V

 即带电粒子将以6.875m/s2的加速度向下做匀加速运动。

 (2)K接通时,电容器带电量为Q=CU=4×1O-9C

 K断开时,电容器带电量为Q′=CU′=1.2×10-9(C)

 △Q=Q-Q′=2.75×10-9C

 有总量为2.75×10-9(C)的电子从R2由下至上流过。

 [小结]

 本题考查学生对电容器充放电物理过程定性了解程度,以及对充电完毕后电容所在支路的电流电压状态是否清楚。学生应该知道电容器充电时,随着电容器内部电场的建立,充电电流会越来越小,电容器两极板间电压(电势差)越来越大。当电容器两端电压与电容器所并联支路电压相等时充电过程结束,此时电容器所在的支路电流为零。

 根据这个特点学生应该会用等势的方法将两端等势的电阻简化,画出等效电路图,如本题中的图9-2,图9-3,进而用电路知识解决问题。

 例2 如图9-4所示,电源电动势ε=9V,内电阻r=0.5Ω,电阻R1=5.0Ω、R2=3.5Ω、R3=6.0Ω、R4=3.0Ω,电容C=2.0μF。当电键K由a与接触到与b接触通过R3的电量是多少?

 [错解分析]错解:K接a时,由图9-5可知

 

 

 流过R3的电量为△Q=QC-QC′=3×106(C)

 没有对电容器的充电放电过程做深入分析。图9-5图中电容器的上极板的电势高,图9-6中电容器的下极板的电势高。电容器经历了先放电后充电的过程。经过R3的电量应是两次充电电量之和。

 [正确解答]

 K接a时,由图9-5可知

 

 此时电容器带电量QC=CU1=1×10-5(C)

 K接b时,由图9-6可知

 

 此时电容器带电量Q′C=CU1=0.7×10-5(C)

 流过R3的电量为△Q=QC+Q′C=1.7×105(C)

 [小结]

 对于电容电量变化的问题,还要注意极板电性的正负。要分析清电容器两端的电势高低,分析全过程电势变化。

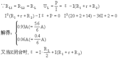
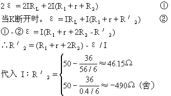
 例3 如图9-7所示的电路中已知电源电动势ε=36V,内电阻r=2Ω,R1=20Ω,每盏灯额定功率都是2W,额定电压也相同。当K闭合调到R2=14Ω时,两灯都正常发光;当K断开后为使L2仍正常发光,求R2应调到何值?

 [错解分析]错解:

 设所求电阻R′2,当灯L1和L2都正常发光时,即通过灯的电流达额定电流I。

    

 分析电路时应注意哪些是恒量,哪些是变量。图9-10电路中电源电动势ε是恒量,灯L1和L2正常发光时,加在灯两端电压和通过每个灯的电流是额定的。错解中对电键K闭合和断开两种情况,电路结构差异没有具体分析,此时随灯所在支路电流强度不变,两种情况干路电流强度是不同的,错误地将干路电流强度认为不变,导致了错误的结果。

 [正确解答]

 解法一:设所求阻值R′2,当灯L1和L2正常发光时,加在灯两端电压力额定电压UL

 当K闭合时,ε1=UL+I1(R1+r+R2)

 当K断开时,ε2=UL+I2(R1+r+R′2),

 又 ∵ε12=ε I1=2I2=2I,(I为额定电流)

 得ε= UL+2I(R1+r+R2) ①

 ε=UL+I(R1+r+R′2) ②

 ①-②I(R1+r+2R2-R2′)=0 但I≠0,

 ∴R1+r+2R2=R′2即R′2=20+2+2×14=50Ω

 解法二:设所求阻值R′2,当灯L1和L2正常发光时,加在灯两端电压为额定电压UL,由串联电路电压分析可得:

 

 [小结]

 电路中的局部电路(开关的通断、变阻器的阻值变化等)发生变化必然会引起干路电流的变化,进而引起局部电流电压的变化。应当牢记当电路发生变化后要对电路重新进行分析

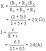
 例4 如图9-8所示电路,已知电源电动势ε=6.3V,内电阻r=0.5Ω,固定电阻R1=2Ω,R2=3Ω,R3是阻值为5Ω的滑动变阻器。按下电键K,调节滑动变阻器的触点,求通过电源的电流范围。

 [错解分析]错解:将滑动触头滑至左端,R3与R1串联再与R2并联,外电阻

 再将滑动触头滑至右端R3与R2串联再与R1并联,外电阻

 由于平时实验,常常用滑动变阻器作限流用(滑动变阻器与用电器串联)当滑动头移到两头时,通过用电器的电流将最大或最小。以至给人以一种思维定势:不分具体电路,只要电路中有滑动变阻器,滑动头在它的两头,通过的电流是最大或最小。

 [正确解答]

 将图9-1化简成图9-9。外电路的结构是R′与R2串联、(R3-R′)与R1串联,然后这两串电阻并联。要使通过电路中电流最大,外电阻应当最小,要使通过电源的电流最小,外电阻应当最大。设R3中与R2串联的那部分电阻为R′,外电阻R为

 因为,两数和为定值,两数相等时其积最大,两数差值越大其积越小。

 当R2+R′=R1+R3-R′时,R最大,解得

 

 因为R1=2Ω<R2=3Ω,所以当变阻器滑动到靠近R1端点时两部分电阻差值最大。此时刻外电阻R最小。

 通过电源的电流范围是2.1A到3A。

 [小结]

 不同的电路结构对应着不同的能量分配状态。电路分析的重要性有如力学中的受力分析。画出不同状态下的电路图,运用电阻串并联的规律求出总电阻的阻值或阻值变化表达式是解电路的首要工作。

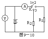
 例5 在如图9-10所示电路中,R1=390Ω,R2=230Ω,电源内电阻r=50Ω,当K合在1时,电压表的读数为80V;当K合在2时,电压表的读数为U1=72V,电流表的读数为I1=0.18A,求:(1)电源的电动势(2)当K合在3时,两电表的读数。

 [错解分析]错解:

 (1)因为外电路开路时,电源的路端电压等于电源的电动势,所以ε=U=80V;

 

 上述解答有一个错误的“替代假设”:电路中的电流表、电压表都是理想的电表。事实上,问题并非如此简单。如果进一步分析K合在2时的情况就会发现矛盾:I1R1=0.18×390=70.2(V)≠80V,这就表明,电路中的电流表和电压表并非理想的电表。

 [正确解答]

 (1)由题意无法判断电压表、电流表是理想电表。设RA、Rv分别为电流表、电压表的内阻,R′为电流表与电阻器R1串联后的电阻,R″为电流表与电阻器R2串联的电阻。则K合在2时:

 由上述两式解得:R1= 400Ω,ε=90V

 

 [小结]

 本题告诉我们,有些题目的已知条件隐藏得很深。仅从文字的表面是看不出来的。只好通过试算的方法判断。判断无误再继续进行解题。

 例6 在电源电压不变的情况下,为使正常工作的电热器在单位时间内产生的热量增加一倍,下列措施可行的是( )

 A、剪去一半的电阻丝

 B、并联一根相同的电阻丝

 C、串联一根相同的电阻丝

 D、使电热器两端的电压增大一任

 [错解分析]错解:

 为原来的一半,所以选A、B。

 忽略了每根电阻丝都有一定的额定功率这一隐含条件。

 [正确解答]

 将电阻丝剪去一半后,其额定功率减小一半,虽然这样做在理论上满足使热量增加一倍的要求,但由于此时电阻丝实际功率远远大于额定功率,因此电阻丝将被烧坏。故只能选B。

 [小结]

 考试题与生产、生活问题相结合是今后考试题的出题方向。本题除了需要满足电流、电压条件之外,还必须满足功率条件:不能超过用电器的额定功率。

 例7 如图9-11所示,电源电压保持不变,变阻器R1的最大值大于R2的阻值,在滑片P自右向左滑动过程中,R1的电功率如何变化?

 [错解分析]错解:采用“端值法”,当P移至最左端时,R1=0,则RL消耗的电功率变为0,由此可知,当滑片P自右向左滑动过程中,R1的电功率是变小的。

 题中R1>R2,所以用端值法只假设R1=0是不够的。

 [正确解答]

 

 因此,在这两种情况时,R1的电功率都是P1<U2/4R,且不难看出,RL与R2差值越大,P1越小于U2/4R。

 综上所述,本题答案应是滑片P自右向左移动时,RL的电功率逐渐变大;当R1=R2时R1的电功率最大;继续沿此方向移动P时,R1的电功率逐渐变小。

 [小结]

 电路中某电阻消耗的功率,不止是由本身电阻决定,还应由电路的结构和描述电路的各个物理量决定。求功率的公式中出现二次函数,二次函数的变化不一定单调变化的,所以在求解这一类问题时,千万要作定量计算或者运用图像进行分析。

 例8 如图9-12所示电路,当电键K依次接a和b的位置时,在(1)R1>R2(2) RL=R2(3) R1<R2三种情况时,R1、R2上消耗的电功率哪个大?

 [错解分析]错解:(l)根据P=I2R可知,当R1>R2时,P1>P2;当R1=R2时,P1=P2;当RL<R2时,P1>P2

 

 当R1>R2时,P1<P2;当R1=R2时,P1=P2;当R1<R2时,P1>P2

 错误在于认为电路改变时其路端电压保持不变,U1=U2,应该分析当电键K接不同位置时,电路的结构不同,电路结构改变但ε,r不变。

 [正确解答]

 当电键K接不同位置时,电路的结构不同。

 

 (l)当R1<R2时,若r2=R1R2 P1-P2=0所以P1=P2;若r2<R1R2 P1-P2<0所以P1<P2若r2>RLR2P1-P2>0所以P1>P2

 (2)当R1>R2时,若r2=R1R2 P1-P2=0,所以P1=P2;若r2<R1R2

 P1-P2>0所以P1>P2;若r2>R1R2 P1-P2<0所以P1<P2

 [小结]

 解决电路问题先审题,审题过后有的同学头脑中出现许多公式,他从中选择合适的公式,有的同学则从头脑中搜寻以前做过的题目,看有没有与本题相似的题目,如果有相似的题目,就把那道题的解题方法照搬过来。这些方法不一定错,但是一旦问题比较复杂,或者题目叙述的是一个陌生的物理情境,这些方法就不好用了。所以,规范化的解题步骤是必不可少的。

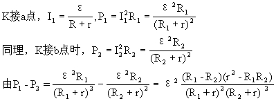
 例9 如图9-13所示电路中,r是电源的内阻,R1和R2是外电路中的电阻,如果用Pr,P1和P2分别表示电阻r,R1,R2上所消耗的功率,当R1=R2= r时,Pr∶P1∶P2等于 [ ]

 A、1∶l∶1   B、2∶1∶1

 C、1∶4∶4  D、4∶l∶1

 [错解分析]错解: 因为R1=R2=r,r与R1,R2并联,它们电压相同,

 认为电源的两端就是外电路的两端,所以内外电阻是并联关系,即认为r与R1,R2并联,Ur=U1-U2,这一看法是错误的,Ur不等于U1

 Ur =ε-U1

 [正确解答]

 在图9-13电路中,内电阻上通过的电流与外电路的总电流相同,内电阻与外电阻是串联关系,(不能认为内电阻与外电阻并联)但R1与R2是并联的,因R1=R2,则I1=I2=I,

 Ir=I1+I2=2I。

 Pr∶P1∶P2= Ir2r∶I12R1∶I22R2∶= 4∶1∶1。,所以是正确的。

 [小结]

 单凭直觉就对电路的串并联关系下结论,太草率了。还是要通过电流的分合,或电势的高低变化来做电路分析。

 例10 如图9-14所示,

 已知电源电动势ε=20V,内阻r=1Ω,当接入固定电阻R=4Ω时,电路中标有“3V 4.5W”的灯泡L和内阻r′=0.5Ω的小型直流电动机恰能正常工作,求(1)电路中的电流强度?(2)电动机的额定工作电压?(3)电源的总功率?

 [错解分析]错解:由灯泡的额定电压和额定功率可求得灯泡的电阻

 

 串联电路中电路中的电流强度

 

 电动机额定工作电压U=I'r=2.7×0.5=l.35(V)

 电源总功率P=Iε=2.7×20=54(W)

  此电路是非纯电阻电路,闭合电路欧姆定律ε=IR不适用,所以电

 [正确解答]

  (1)串联电路中灯L正常发光,电动机正常工作,所以电路中电流强度为灯L的额定电流。

 

 电路中电流强度I=1.5A。

 (2)电路中的电动机是非纯电阻电路。根据能量守恒,电路中

 ε=UR+UL+Ur+Um

 Um=ε-UR-UL-Ur=ε-I(R+RL+r)=20-1.5×(2+4+1)=9.5

 (3)电源总功率P=Iε=1.5×20=30(W)。

 [小结]

 要从能量转化与守恒的高度来认识电路的作用。一个闭合电路中,电源将非静电能转化为电能,内外电路又将电能转化为其他形式的能。ε=U+U则是反映了这个过程中的能量守恒的关系。

 例11 电动机M和电灯L并联之后接在直流电源上,电动机内阻r′=1Ω,电灯灯丝电阻R=10Ω,电源电动势ε=12V,内阻r =1Ω,当电压表读数为10V时,求电动机对外输出的机械功率。

 [错解分析]错解:

 流与其电阻成反比,

 

 上述错解过程中有两处致命的错误:一是将电动机视为纯电阻处理了,电动机不属于纯电阻,而是将电能转化为机械能,错解中利用了并联电路中支路电流与电阻成反比的结论是不恰当的,因为该结论只适用于纯电阻电路,二是不明确电动机的输入功率Pm与输出功率Pm的区别,IM2r′是电动机内阻发热功率。三者的关系是:Pm=Pm+IM2r′。

 [正确解答]

 根据题意画出电路图,如图9-15所示。由全电路欧姆定律ε= U+Ir得出干路电流

 由已知条件可知:流过灯泡的电流

 电动机的输出功率的另一种求法:以全电路为研究对象,从能量转化和守恒的观点出发P=P。本题中电路中消耗电能的有:内电阻、灯泡和电动机,电动机消耗的电能又可分为电动机输出的机械能和电动机自身消耗的内能。即Iε=I2r+IL2R+Pm+IM2r′。

Pm=Iε-(I2r+IL2R++IM2r′)=9(W)

 [小结]

 站在能量转化与守恒的高度看电路各个部分的作用。就可以从全局的角度把握一道题的解题思路,就能比较清醒地分清公式规律的适用范围和条件。

 例12 把一个“10V 2.0W”的用电器A(纯电阻)接到某一电动势和内阻都不变的电源上,用电器A实际消耗的功率是2.0W,换上另一个“10V 5.0W”的用电器B(纯电阻)接到这一电源上,用电器B实际消耗的电功率有没有可能反而小于2.0W?你如果认为不可能,试说明理由,如果认为可能,试求出用电器B实际消耗的电功率小于2.0W的条件(设电阻不随温度改变)

 [错解分析]错解: 将“10V 2.0W”的用电器与电源连接,用电器正常工作说明用电器两端电压为10V,现将“10V 5.0W”的用电器B与电源连接,用电器两端电压是10V,B也能正常工作,实际功率是5.0W,所以用电器的实际功率不会小于2.0W。

  把路端电压与电源电动势混为一谈,认为路端电压是恒定的,不随外电路改变而改变。

 [正确解答]

 越大,U也越大,所以与ε不同,U不是恒定的。

  以当B连入时,用电器两端的电压将小于10V,它消耗的实际功率将小 述条件时,B的实际功率小于2.0W。

 [小结]

 根据电源最大输出功率的条件做出输出功率与外电阻图(P-R图如图9-16所示)做定性分析,也可以得到同样的结果。由题意可知RA接入电路时,若电源的输出功率达到最大输出功率,则RB接入电路时,电源的输出功率肯定小于最大输出功率2W。若电源的输出功率没有达到最大输出功率,RB接入电路时,电源的输出功率有可能小于RA接入电路时输出功率2W。

 例13 输电线的电阻共计10Ω,输送的电功率是100kw,用400V的低压送电,输电线上发热损失的功率是多少kw?改用10kV的高压送电,发热功率损失又是多少kw?

 [错解分析]错解:

    

  错解一是对欧姆定律使用不当,输送电压是加在输电线电阻和负载上的,如果把它考虑成输电线上的电压求电流强度当然就错了。错解二注意到了负载的作用,所求出的损失功率P1是正确的,然而在高压送电电路中,负载都是使用了变压器而错解二把它当作纯电阻使P2解错。

 [正确解答]

  输送电功率100kw,用400V低压送电,输电线上电流

 输电线上损失功率

 若用10kV高压送电输电线上电流

 输电线上损失功率P2=I22r=102×1=0.1(kw)

 [小结]

 一道很简单的题目做错了,有些人将错解原因归结为:粗心、看错了题目。其实真正的原因是解题不规范。如果老老实实地画出电路图标出各个物理量,按图索骥就可以避免所谓的“粗心”的错误。

 例14 如图9-17,外电路由一个可变电阻R和一个固定电阻R0串联构成,电源电动势为ε,电源内阻为r,

 问:R调到什么时候,R0上将得到最大功率。

 [错解分析]错解:

 把可变电阻R看成电源内阻的一部分,即电源内阻r′= r+R。利用电源输出功率最大的条件是R=r′得R0=R+r,即R=R0-r,所以把可变电阻调到R=R2-r时,电路中R0上得到最大功率,其大小为

 可变电阻R上得到的功率,决定于可变电阻的电流和电压,也可以用电源输出功率最大时的条件,内外电阻相同时电源有最大输出功率来计算。但是题目要求讨论定值电阻R0上的输出功率,则不能生搬硬套。定值电阻R0上的功率,决定于流过电阻R0的电流强,这与讨论可变电阻R上的功率不同。

 [正确解答]

 电流经过电阻R0,电流能转换成内能,R0上功率决定于电流强度大小和电阻值,即P=I2R0,所以当电流强度最大时,R0上得到最大功率。由纯电阻的闭合电路欧姆定律,有

 

 固定电阻R0上有最大输出功率,其大小为

 [小结]

 在讨论物理问题时选择研究对象是重要的一环。研究对象选错了,就要犯张冠李戴的错误。明明题目中要我们计算定值电阻的功率,有人却套用滑动变阻器的结论。所以认真审题找出研究对象,也是提高理解能力的具体操作步骤。

 例15 有四个电源,电动势均为8V,内阻分别为1Ω、2Ω、4Ω、8Ω,今要对R = 2Ω的电阻供电,问选择内阻为多大的电源才能使R上获得的功率最大? [  ]

 A、1Ω  B、2Ω

 C、4Ω  D、8Ω

 [错解分析]错解:依“外电阻等于内电阻(R=r)时,外电路上的电功率有最大值”可知,应选内阻2Ω的电源对R供电,故选B。

 上述错解的根源在于滥用结论。事实上,确定的电源有最大的输出功率和确定的外电路上获得最大功率的条件是不同的。“外电阻等于内电阻(R=r)时,外电路上的电功率有最大值”只适用于电源确定而外电阻可选择的此形,而本题实属外电阻确定而电源可选的情况,两者意义不同,不可混为一谈。

 [正确解答]

 P是r的单调减函数,所以就题设条件而言,r取1Ω时P有最大值,应选A。

 [小结]

 物理学的任何规律结论的成立都是有条件的,都有其适用范围。有的同学做题比较多,习惯于套用一些熟悉题目的解题路子。这种方法有它合理的一面,也有其造成危害的一面。关键是要掌握好“条件和范围”。

 例16 图9-18所示,为用伏安法测量一个定值电阻阻值的实验所需要的器材实物图,器材规格如下:(1)待测电阻RX(约100Ω)(2)直流毫安表(量程0-10mA,内阻50Ω)(3)直流电压表(量程0-3V,内阻5kΩ)(4)直流电源(输出电压4V,允许最大电流1A)(5)滑动变阻器(阻值范围0-15Ω,允许最大电流1A)(6)电键一个,导线若干条。根据器材的规格和实验要求,在本题的实物图上连线。

 [错解分析]错解:

 错解一:如图9-19所示,此种连法错在变阻器的右下接线柱和电源的负极之间少连了一条线,即使变阻器取最大值,通过电路的电流也超过了10mA,大于毫安表的量程。

 错解二:如图9-20所示有两处不妥:①电压调节范围小;②电流过大。这种连法实际上与图9-19的错误是一样的。

 错解三:如图9-21所示,此种连法是用伏安法测量,电路与变阻器由滑动触头并联,无论变阻器的阻值怎样变化,流过毫安表的电流

 始终超过毫安表的量程,而且当滑动触头滑到最左端时,电源还有被短路的可能,故连接错误。

 错解四:如图9-22所示,可见这种连法实际上与图9-21(变阻器取最大值时)的错误是一样的。

 错解五:如图9-23所示,显然可见,当电键闭合时电源被短路,这是不允许的,连接错误。

 错解六:如图9-24所示,当变阻器的滑动头滑到最左端时,电键闭合后电源被短路,滑到最右端时,电流超过毫安表的最大量程,故连接错误。

 错解七:如图9-25,无论电键是否闭合,电源、变阻器回路始终是接通的,电键的位置连接错了。

 [错解原因](1)错在变阻器的连接上的原因是:在高中学习伏安法测电阻时,接触的多是将变阻器连接一个上接线柱和一个下接线柱,串连在电路中分压限流,因而在做此题时,采用了习惯连法,没有对器材的规格要求进行计算、分析。

 (2)将毫安表内接错误,错误的症结是不了解系统误差产生的原因,也是没有对器材的规格进行具体分析。

 (3)出现同时连接变阻器的两个上接线柱;电表的“+”、“-”接反;不在接线柱上连线,而是在连线上连线等,说明学生缺乏实验操作的规范化训练,或缺乏亲自动手做实验。

 [正确解答]

  用伏安法测电阻,首先要判明电流表应该内接还是外接,由题目所给器材规格来看,显然不满足RA<<Rx条件,而是满足Rv>>Rx条件,所以应采用外接法。若图9-26电路,当滑动触头P处于最左端,滑动变阻器为最大值时,由题设条件流过电流表的电流

 超过安培表的量程。因此变阻器既应分压又应分流。

 正确的连接图为图9-27所示。画图的关键是:毫安表需外接,变阻器接成分压电路。实验开始前将滑动变阻器的滑动触头滑至分压为零的位置。

 [小结]

 在设计实验过程时,要根据具体实验条件,灵活应用实验原理,改变实验方法。善于从习题中或所学的物理定律的推论中得出实验原理和方法。基本原则是不能是电表超过量程,测量误差尽可能小;不能使用电器超过其额定功率,结构上不能出现短路断路现象。

 例17 如图9-28所示电路的三根导线中有一根是断的。电源、电阻器R1、R2及另外两根导线都是好的。为了查出断导线,某学生想先用万用表的红表笔连接在电源的正极a,再将黑表笔分别连接在电阻器RL的b端和R2的c端,并观察万用表指针的示数。在下列选挡中,符合操作规程的是:

[  ]

 A.直流10V挡  B.直流0.5A挡

 C.直流2.5V挡  D.欧姆挡

 [错解分析]错解: 如果电路连接正常,电路中的电流

 

 测量的最大电压为U1=IR1=2V。可选A、C。

 用欧姆挡可以直接测量回路中的电阻是否等于15Ω或者等于10Ω。

 选B的同学没有考虑R1与R2之间的导线断开的情况。选C的同学没有考虑到无论哪根导线断开,测得的电压都等于6V,大于2.5V。如选D的同学没有考虑到如果被测回路中有电源,欧姆表就可能被毁坏或读数不准。

 [正确解答]

 设万用表各挡都理想,忽略电源的内阻。选用不同功能档时,应画出电路图,至少在头脑中想清楚。

 用电压挡测量时,由于电路断开(无论是从ab间断开,还是从R1与R2之间断开)电路中无电流,黑表笔与电源负极等电势。直流电压挡测量的数值是电源电动势ε=6V。所以A选项可行,C选项不行。

 用电流挡测量时,假设ab间导线完好,而R1与R2之间导线断开, B选项。

 被测回路中有电源,欧姆表不能适用,排除D选项。

 [小结]

 本题考

试题详情

22.(12分)已知函数其中

  (1)若处取得极值,求a的值;

  (2)求的单调区间;

  (3)若的最小值为1,求a的取值范围。

试题详情


同步练习册答案