0  315500  315508  315514  315518  315524  315526  315530  315536  315538  315544  315550  315554  315556  315560  315566  315568  315574  315578  315580  315584  315586  315590  315592  315594  315595  315596  315598  315599  315600  315602  315604  315608  315610  315614  315616  315620  315626  315628  315634  315638  315640  315644  315650  315656  315658  315664  315668  315670  315676  315680  315686  315694  447090 

33.(10分)细胞分裂是生物体一项重要的生命活动,是生物体生长、发育、繁殖和遗传的基础。根据下图回答相关问题:

(1)若某植株的一个体细胞正在进行分裂如图①,此细胞的下一个时期的主要特点是_____。

(2)假设某高等雄性动物睾丸里的二个细胞分裂如图②,其基因A、a、B、b分布如图,该动物的精原细胞产生Aa精子的概率是________。用32P标记精原细胞的DNA分子双链,再将其移到不含32P的培养基中培养至减数第二次分裂后期,细胞内有________条染色体,被32P标记的染色体条数是________。

(3)图③是某高等雌性动物体内的一个细胞,它的名称是________,该细胞有________条染色体,________条染色单体;图中具有同源染色体的是图________ 。

(4)图②对应于图④中的________段,图③对应于图④中的________段。 

试题详情

32.(9分)油菜和大麻是两种重要的经济作物,前者是雌雄同株植物,后者是雌雄异株植物。为了培育优良作物,科学家利用二者进行了以下相关研究。请分析资料回答问题:

资料一 图甲表示油菜体内的的中间代谢产物磷酸烯醇式丙酮酸(PEP)运输到种子内的两条转变途径。其中酶a和酶b分别由基因A和基因B控制合成。浙江农科院陈锦清教授根据这一机制培育出高产油油菜,产油率由原来的35%提高到58% 。

资料二 图乙表示大麻的性染色体简图。图中同源部分(Ⅰ片段)基因互为等位,非同源部分( Ⅱ1、Ⅱ2片段) 基因不互为等位。科学家研究发现,大麻种群中雌雄个体均有抗病和不抗病的个体存在,已知抗病性状受显性基因D 控制,为伴性遗传。

 (1)图甲中油脂或氢基酸的合成途径,说明基因可以通过________ 来控制代谢过程,从而影响生物性状。

 (2)已知基因B某一片段碱基排列如图所示。

其中α链是转录链,转录出α′链;陈教授及其助手                诱导β链也实现转录,转录出β′链,从而形成双链mRNA。则这个双链mRNA的碱基序列是________________________________。由于该双链mRNA不能与________结合,因此不能合成酶b,但细胞能正常合成酶a,所以高产油油菜的油脂产量高。

(3)要想提高氨基酸的产量,除上述实验基本思路外,还可以采用________育种方法,培育出不能合成酶a的植株。

(4)由资料二所给信息可知,控制大麻的抗病基因不可能位于图乙中的________段。      

(5)现有雌雄大麻纯合子若干株,只做一代杂交试验,推测杂交子一代可能出现的性状,并推断控制该性状的基因位于哪个片段,则选用的杂交亲本的表现型为________。

如果子一代中________________ ,则控制该性状的基因位于图中的Ⅱ2片段;

如果子一代中________________,则控制该性状的基因位于图中的Ⅰ片段。

 (6)假设某物质在两个显性基因共同存在时才能合成,基因G、g位于Ⅰ片段上,另一对等位基因(E、e)位于一对常染色体上。两个不能合成该物质的亲本杂交,子一代均能合成该物质,子二代中能合成该物质、不能合成该物质的比例为9︰7,则两个亲本的基因型为________________。

试题详情

30.(16分)已知:

现有只含C、H、O 的化合物A ~E,其中A 为饱和多元醇,其他有关信息已注明在图中的方框内。

回答下列问题:

⑴A的分子式为____________________;

⑵写出下列物质的结构简式:B_____________;D___________;

⑶写出下列反应的化学方程式和反应类型

A→C:_____________,反应类型:______________________________;

A→E:_____________,反应类型:______________________________;

⑷工业上可以通过油脂的皂化反应得到A,分离皂化反应产物的基本操作是________、________。

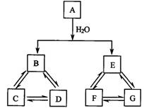
31(11分)下图是人体部分代谢示意图,请据图回答:

 ⑴③和④分别发生在组织细胞中的__________和_________。

⑵①过程主要发生在人体的________器官,对这一过程有促进作用的激素是________,由________细胞分泌。

(3)在②③④中,需消耗氧气的有____________;比较③④⑥三个生理过程,若最初葡萄糖消耗量相同,则释放能量从多到少的顺序是________ 。

(4)人体细胞进行无氧呼吸时产生乳酸,而水稻细胞进行无氧呼吸时产生________ ,则产生不同产物的直接原因是________ 。

 ⑸长跑后肌肉酸痛,血液pH有所下降,这是因为发生了图中的________ (填序号)过程;之酸痛消失,血液pH逐渐恢复,这主要是因为发生了图中的________ (填序号)过程,此外还与血液中存在酸碱缓冲物质有关。

试题详情

29.(10分)有A、B、C、D、E、F、G七种常见物质,它们                  满足下图所示转化关系。已知:①A、B、C、D含同一种元素;

②A、B、C、D、E、F、G都不是氧化物;

③D.G是钠盐

④A、E、F、G含同一种元素,且F 为单质,E 在常温                 下为气体。

回答下列问题:

(1)写出A、F的化学式:A_____;F_____。

(2)写出下列反应的离子方程式:

 ① D → C______________________________;

 ② C + D → B______________________________。

试题详情

28.(14 分)为除去粗盐中的Ca2+、Mg2+、Fe3+、SO42-以及泥沙等杂质,某同学设计了一种制备精盐的实验方案,步骤如下(用于沉淀的试剂稍过量):

(1)判断BaCl2 已过量的方法是____________________________

(2)第④步中,相关的离子方程式是____________________________

(3)若先用盐酸调pH值再过滤,将对实验结果产生影响,其原因是_________________________________________________

(4)为检验精盐纯度,需配制150mL0.2mol·L-1NaCl(精盐)溶液,右图是该同学      转移溶液的示意图,图中的错误是

__________________________________________。

试题详情

27.(20分)(1)混合动力汽车因具有能量利用率高(95%以上)、节省汽油、发动机噪音低和几乎没有尾气污染等优良性能,受到越来越多的关注,某种混合动力汽车的动力系统由“1.3L汽油机+5速手动变速器+10kW电机+144V镍氢电池”组成。

    ①汽油机的燃料之一是乙醇,1g乙醇完全燃烧放出29.7kJ热量,写出乙醇燃烧的热化学方程式___________________________________。

   ②镍氢电泄的使用可减少重金属离子污染,它采用储氢金属作为负极,碱液(主要是KOH)作为电解液,镍氢电池充电时发生反应:Ni(OH)2=== Ni(OH)+1/2H2。其放电时正极电极反应式为__________________________________。

③常温下,浓度同为0.1mol·L-l的NaHCO3溶液和Na2CO3 溶液pH 值都大于7 ,两者中_______ pH更大,其原因是:___________________________________。

(2)二氧化锰、锌是制造干电池的重要原料,工业上用软锰矿(含MnO2)和闪锌矿(含ZnS)联合生产二氧化锰、锌的工艺如下:

①操作1的名称为___________,单质A为____________,单质B为______________。

②上述电解过程中,当阴极生成6.5gB时阳极生成MnO2质量为_________________。

③利用铝热反应原理,可从软锰矿中提取单质锰,写出其化学反应式:__________________________________________

试题详情

26.(21分)如图所示,两块长为L 的带等量异种电荷的平行               金属板M、N,板间距离为L,一负离子以速度v0沿板间中线射入,负离子恰好能沿板右侧边缘飞出,同时进入金属板右方磁感应强度为B,方向垂直纸面向里的匀强磁场中,一段时间后负离子垂直打在屏PQ 上,屏PQ与金属板右端的水平距离为d,不计负离子的重力。

(1)试分析判断负离子是沿上板右侧边缘飞出,还是沿下              板右侧边缘飞出,并求负离子离开电场时速度v的大小和方向;

(2)试求负离子比荷q/m的大小。

试题详情

25.(18分)如图所示,AB为位于竖直平面上的半径为R的四分之一            光滑圆弧轨道,O点为圆心,A点距地面高度为H,质量为m的小球从A点静止释放,通过B点,最后落在地面C处,不计空气阻力。试求:

    (1)小球通过B点的速度及小球通过B点对轨道的压力

    (2)小球落地点C与B点的水平距离

    (3)当比值R/H为多大时,C点与B点的水平距离S最大?最            大值是多少?

试题详情

24.(15分)一辆汽车质量为l.5 t,额定输出功率为60 kW,当它以额定功率行驶时的最高速度为144 km/h。求:

  (l)该汽车以上述最高速度行驶时所受的阻力是车受重力的多少倍?

  (2)设行驶中汽车所受阻力与速度大小无关,该车行驶时输出功率保持额定功率不变,当速度增大到72 km/h时的加速度是多少? (取g=10 m/S:)

试题详情

23.(8分)测量电源电动势和内阻的实验如图。

  器材有:电源(E约4.5V,r约l.5Ω)

      理想电压表(量程3V)

      电流表(量程0.5 A,有一定电阻)

      固定电阻(R约4Ω),滑动变阻器R′,电键S,导线若干

  实验中,当电流表读数为I1时,电压表读数为U1,当电流表读数为           I2时,电压表读数为U2,则可得出E=_______ ,r=_______ (用I1 、I2 、U1 、U2、R表示)。

试题详情


同步练习册答案