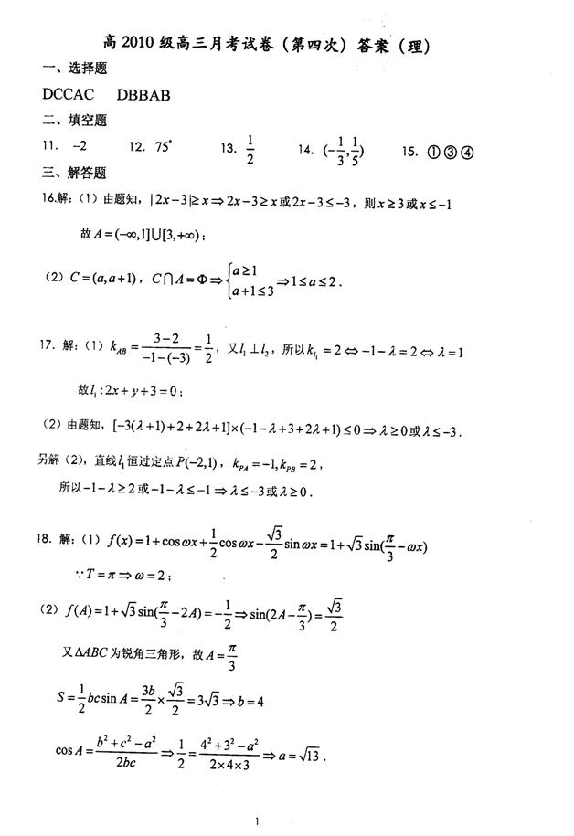
0  315680  315688  315694  315698  315704  315706  315710  315716  315718  315724  315730  315734  315736  315740  315746  315748  315754  315758  315760  315764  315766  315770  315772  315774  315775  315776  315778  315779  315780  315782  315784  315788  315790  315794  315796  315800  315806  315808  315814  315818  315820  315824  315830  315836  315838  315844  315848  315850  315856  315860  315866  315874  447090 

21.(12分) 表示不超过的最大整数,正项数列满足

  (1)求数列的通项公式

(2)求证:

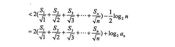
(3)已知数列的前项和为求证:当时,有

 

试题详情

20.(12分)已知二次函数(为常数且)满足 且方程有等根.

  (1)求的解析式;

(2)设的反函数为恒成立,求实数的取值范围.

试题详情

19.(12分)设数列的前项和为

(1)求数列的通项公式

(2)是否存在正整数使得?若存在,求出值;若不存在,说明理由.

试题详情

18.(13分)已知函数的最小正周期为

(1)求正数的值;

(2)在锐角中,分别是角的对边,若的面积为的值.

试题详情

17.(13分)已知直线直线过点

(1)若 求直线的方程;

(2)若直线和线段有交点,求的取值范围.

试题详情

16.(13分)已知函数的定义域为集合

(1)求

(2)若求实数的取值范围.

试题详情

15.给出下列四个命题:

   ①若成立,则

②若

③已知的夹角为上的投影为3;

④已知处取得最小值,则

其中正确命题的序号是_________________.(把你认为正确的命题的序号都填上)

试题详情

14.已知关于的方程的两根为

的取值范围是______________.

试题详情

13.向量满足  的夹角为60°,则__________.

试题详情

12.三角形中,分别是角的对边,的值为______.

试题详情


同步练习册答案