0  315678  315686  315692  315696  315702  315704  315708  315714  315716  315722  315728  315732  315734  315738  315744  315746  315752  315756  315758  315762  315764  315768  315770  315772  315773  315774  315776  315777  315778  315780  315782  315786  315788  315792  315794  315798  315804  315806  315812  315816  315818  315822  315828  315834  315836  315842  315846  315848  315854  315858  315864  315872  447090 

1.已知集合那么集合为(   )

A.           B.           C.           D.

试题详情

22、(12分)

(1)证明:设E为BC中点,连结AE、DE

因为AB=AC  BD=DC

所以BCAE  BCDE 

又AEDE=E

所以BC面ADE 从而BCAD。

(2)由(1)知:面ADE面ABC

作DFAE于F,则DF面ABC

即DF的长就是D点到面ABC的距离,所以DF    (6分)

由(1)知:AED就是二面角A-BC-D的平面角。

因为BCD是正三角形,且BC=4,所以DE=2

在RtDFE中,

又因为正弦函数在区间是增函数,

所以 。即二面角A-BC-D的平面角的取值范围是:。    (12分)

试题详情

21、(12分)

解:(1)四个名额全部给某一个班,有种分法。   (2分)

      (2)可分两类:①四个名额全部分给某两个班,每班两个,有=15种

     ②四个名额全部分给某两个班,其中一个班一个,另一个班三个,有=30 种。所以把四个名额全部分给两个班,每班至少一人,共有15+30=45种分法。  (8分)

      (3)四个名额全部分给三个班,一个班两个,另两个班一班一个,有 种;四个名额 全部分给四个班,每班一个,有种。

      所以,把四个名额全部分给六个共有6+45+60+15=126种分法。  (12分)

   对于(3)可隔板法:种分法。

试题详情

20、(12分)

解:(1)由题知:BC=AD=GD   又因为四边形ABCD为梯形,所以BC∥GD

所以BCDG为平行四边形,从而BG∥CD

   因为BG面PCD,CD面PCD

所以BG∥面PCD      (4分)

  (2)因为PA面ABCD,所以DAPA 又知DAAB,ABPA=A

从而DA面PAB。又因为DA面DAMN 

    所以面DAMN面PAB。   (8分)

  (3)由于CD∥BG,所以CD和BG与面DAMN的成的角相等。

    因为AB=AP且M为PB中点,所以BMAM

   又因为面DAMN面PAB。且面DAMN面PAB=AM   所以BM面DAMN,  连结MG。

   则BGM为BG与面DAMN所成的角。

    设AB=2,则PB=2,BM=,BG==

    在BMG中,

所以BG即CD与面DAMN所成的角的大小为   (12分)

试题详情

19、(12分)

  解:(1)二项式(的展开式的前三项的系数为

   1,,由题意得

  1+  解得n=8      (6分)

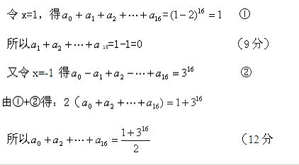
(2) 已知=

令x=0, 得

试题详情

18、(12分)

解:  如图,以DA、DC、DD1分别出

作为x,y,z轴,建立空间坐标系。

则A(2,0,0)  C(0,2,0)

D1(0,0,2)  E (2,2,1)F(0,1,0)  B(2,2,0)。则

   

试题详情

17、(10分)

解:(1)可从7人中任选3人,即=35种不同的选法。  (2分)

  (2)至少有一名女生当选的不同选法有         

   种  或种     (6分)

    (3)代表中男、女生都要有的不同选取法有

   种      (10分)

试题详情

13、    14、 58  .  ­­15、.  16、  ② ④ 

试题详情

22、(分12)如图,在四面体ABCD中,ABC与DBC都是边长为4的正三角形。

(1)求证:BCAD;

(2)若D点到面ABC的距离不小于3, 求二面角A-BC-D的平面角的取值范围。 

个旧一中2008-----2009学年上学期高二年级期中考试



 

               数学试题 

       命题人:罗荣章             

试题详情

21、(12分)某校高二年级有6个班,现有四个“三好”学生名额,要分配给这六个班。

⑴ 把四个名额全部分给一个班,有多少种不同分法?

⑵ 把四个名额全部分给其中的两个班,每班至少一个名额,有多种不同的分法?

⑶ 把这四个名额全部分完,有多少种不同的分法?

试题详情


同步练习册答案