0  316628  316636  316642  316646  316652  316654  316658  316664  316666  316672  316678  316682  316684  316688  316694  316696  316702  316706  316708  316712  316714  316718  316720  316722  316723  316724  316726  316727  316728  316730  316732  316736  316738  316742  316744  316748  316754  316756  316762  316766  316768  316772  316778  316784  316786  316792  316796  316798  316804  316808  316814  316822  447090 

5、研究表明,无限大的均匀带电平面在周围空间

试题详情

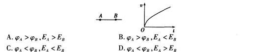
4、电场中有一条电场线是直线,A、B是这条电场线上的两点。若将一个

试题详情

3、等两异种点电荷的连线和中垂线如图所示,现

试题详情

2、如图所示,长为L、倾角为θ的

光滑斜面处于向右的匀强电场中

试题详情

1、如图所示,实线为不知方向的三条电场线,从电场中M点以相同速度

试题详情

29. (1)《政治生活》的知识,谈谈从情境一的内容中,你发现了什么问题?( 8分)

(2)根据情境二,运用《经济生活》的有关道理,分析说明企业及经营者讲究诚信的重要性。(5分)

展。(2分)

②企业的信誉和形象作为一种无形的资产是经过长期努力形成的,企业及经营者是否诚信经营,树立良好的信誉和形象,关系到能否增强企业的市场竞争力,关系到企业成败。(2分)

③企业及经营者讲究诚信有利于和谐社会的建设,小康社会目标的实现。(1分)

试题详情

28. (1)概括网络调查反映出的主要民意信息。(2分)

(2) 通过网络调查,让网民反映真情、说实话,积极参与国家政治生活、经济生活,这种做法是公民在行使哪些政治权利?简要分析行使这些权利的好处。(10分)

试题详情

27. (1)请你简要概括材料一反映了什么经济现象?( 3分)

(2)请从《经济生活》角度分析我国打出“二降一免”政策组合拳的原因。( 10分)

试题详情

26. (1)“群众信访”是公民在行使什么权利?作为公民应如何行使这一权利?(3分)

(2)结合上述材料说明,我国公安机关是如何坚持对人民负责原则的?(9分)

试题详情

29.2008年的9月,对于我们中国来说是个灰色的月份。因为在这个月里连续出现了多起重大安全事故。某校高三(1)班同学开展了以 “安全生产”为主题的综合探究活动,让我们一起参与其中。

情境一:同学们通过上网查阅得到了如下资料:9月份以来,全国先后发生了12起煤矿、交通、火灾、食品(三鹿奶粉事件)等重特大安全事故,共死亡470多人。其中8起是煤矿事故,损失极为惨痛,社会影响极为恶劣。当前全国安全生产面临如下形势:一是一些地方安全隐患严重,事故风险较大,影响民生状况与社会安定;二是事故背后的失职、渎职和钱权交易等腐败问题比较突出。三是一些企业主丧失诚信,无视生命与法律,令人深恶痛绝。

同学们还查到了下表。

表格:我国与其他国家安全事故对比表(%)

项目
中国
美国
日本
波兰
万车死亡率
10
1.3
1
/
百万吨煤死亡率
3
0.03
/
0.3

情境二:同学们在探究活动中还了解到:极大影响了“中国制造”国际形象的“三鹿奶粉事件”中的毒奶粉至少在半年前就已经出现,但是三鹿集团缺乏诚信,刻意隐瞒,直到全国不少地方报告多例婴幼儿泌尿系统结石病例,调查发现是由于食用含有“三聚氰胺”三鹿牌奶粉的事实后才开始召回有毒奶粉。

(1)  运用《政治生活》的知识,谈谈从情境一的内容中,你发现了什么问题?( 8分)

(2)根据情境二,运用《经济生活》的有关道理,分析说明企业及经营者讲究诚信的重要性。(5分)

天津市五校2010届高三上学期期中联考政治答题纸

第Ⅱ卷

Ⅱ、简析题:运用所学知识对所提问题进行简明扼要的分析和说明。

(本大题共3小题, 共37分)

试题详情


同步练习册答案