0  317431  317439  317445  317449  317455  317457  317461  317467  317469  317475  317481  317485  317487  317491  317497  317499  317505  317509  317511  317515  317517  317521  317523  317525  317526  317527  317529  317530  317531  317533  317535  317539  317541  317545  317547  317551  317557  317559  317565  317569  317571  317575  317581  317587  317589  317595  317599  317601  317607  317611  317617  317625  447090 

26.(24分)

 

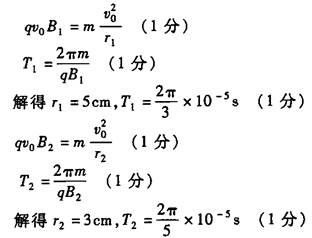
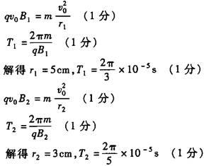
⑵ 当磁场垂直纸面向里 B1 =0.3 T时,电荷运动半径为r1,运动周期为T1,当磁场垂直纸面向里 B2 =0.5 T时,电荷运动半径为r2,运动周期为T2,则

(3从以上计算知道,粒子的运动轨迹为如图所示的周期运动,每一个周期运动的距离为

试题详情

25.(18分)

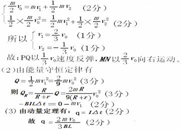
 ⑴发生完全弹住碰撞,设碰后MN速度为v1PQ速度为v2

试题详情

24.(16分)

⑴当物块滑上小车时,设小车加速度为a1,物块加速度为a2

对小车:F+μ2mg-μ1 (M+m) g=Ma1(3分)

a1=3 m/s2   (1分)

对物块:-μ2mg=ma2 (3分)

A2= -2 m/s2   (1分)

物块经过时间t与小车保持相对静止,则,v2+a2t = v1+a1t  (3分)

  解得 t = 1.2s   (1分)

  此时共同速度v3 = 5.6 m/s

⑵物块作匀减速直线运动

  (2分) 

s =  8.16 m  (2分)

试题详情

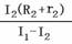
23.(12分)A1、A2、R1、R2 (4分)   R2、r2分别为变阻箱、A2表的阻值,I1、I2分别为A1、A2的示数。(4分)

画图正确给4分

试题详情

22.(6分)6.125×10-3 (3分)   6.170×10-2 (3分)

试题详情

1.D  2.B  3.A  4.B  5.C  6.C  7. D  8.D  9.C  10.D  11.B  12.D  13.A  14.CD  15.B  16.B  17.C  18.BD  19.C  20.B  21.C 

试题详情

34.(13 分)2006 年11月,执法人员在对某集贸市场出售的鸭蛋进行检查时,测出一种“红心鸭蛋”(蛋黄红色)含有苏丹红。经调查,这是少数不良分子将含有苏丹红的所渭“红药”拌入鸭饲料所致。苏丹红学名苏丹,它并非饲料或食品添加剂,这是一种脂溶性的化学染色剂,可分苏丹Ⅰ、苏丹Ⅱ、苏丹Ⅲ、苏丹Ⅳ号四种,这次检测出的苏丹红主要成分为苏丹Ⅳ。回答下列问题:

   ⑴人在食用“红心鸭蛋”时,苏丹红被消化道上皮细胞吸收的方式是__________________。

   (2)你认为鸭蛋黄被染成红色的原因是______________________。

 (3)有人认为苏丹Ⅳ有致癌作用。现有健康幼龄小鼠的肝脏、动物细胞培养液、苏丹Ⅳ粉末、有关酶制剂、培养瓶若干、剪刀、光学显微镜等显微观察设备及细胞培养设备等。现欲通过实验探究苏丹Ⅳ对小鼠有无致癌作用。

 ①本实验涉及动物细胞工程中的有关技术是___________,实验中用到的小鼠肝脏选自幼龄   小鼠的原因是___________。用此技术检测苏丹Ⅳ对小鼠有无致癌作用的观察指标是______________________

   ②实验步骤:

    第一步:将小鼠肝脏剪碎,用胰蛋白处理,使其组织细胞分离,并用细胞培养液制成一定浓度的细胞悬浮液。

    第二步:将相同体积的小鼠肝脏悬浮液分别装在两个培养瓶A、B中,____________________________________________________________________。

  第三步:____________________________________________________________________。

③实验结果、结论:

    可能的结果a:_______________________________________________________________。

    结论:_________________________________________________________________________。

可能的结果 b:________________________________________________________________。

结论:_________________________________________________________________________。

2010年曲靖一中高考冲刺卷理科综合(二)

试题详情

33.(10分)2007年夏季,继江苏太湖和安徽巢湖之后,蓝藻再次在污染本来就十分严重的云南滇池不可避免地爆发了,因为在几次蓝藻灾害中,我们都看到了“先污染、后治理”“边治理、边污染”所造成的严重恶果。大自然已向我们进行报复,向我们发出强烈的警示。一方面,政府十多年投入47亿元治污,另一方面,滇池周边的工厂、村庄、农田每天仍产生着大量污染源,污染速度远高于治理速度,造成滇池水体中的氮、磷浓度升高,造成水体富营养化,致使其从昔日的“高原明珠”变成了今日的“高原绿珠”。

  (1)滇池蓝藻爆发时湖面漂浮着一层绿膜,有人认为这是绿藻而不是蓝藻。对此,可以通过显微镜观察细胞是否具有___________来判断。

  (2)迸人夏季气温偏高是滇池蓝藻爆发的原因之一,从本质上看这是人为污染超过了滇池生态系统的___________,而温度是通过影响细胞内___________来影响蓝藻的生长。

  (3)为了防止滇池水源被污染,环保部门加强对滇池上游流域沿岸工厂的监测,现怀疑某工厂是污染源之一,并对其排污口进行了检测。检测员沿河每隔10om取水样一次,共取9份并依次编号为①~⑨,已知⑤号水样正对工厂排水□。检验员对所取水样进行了如下处理:Ⅰ.检测水样中的蓝藻数量(A组);Ⅱ.滤除水样中全部蓝藻后,每份水样分为三等份,编号B、C、D,其中B、C组分别添加适量的N和P,D组不添加无机盐。然后加人等量的蓝藻,放置在阳光下若干天,再检测水样中蓝藻量,统计数据如下表(蓝藻数量,单位:百万细胞/mm3)。请回答有关问题:

水样编号









A组(原始水样)
0.2
0.3
0.3
1
10
10
7
7
6.5
B组(添加N)
1
1.5
2
2.5
20
19
18
17
18
C组(添加P)
8
9
9.5
10
11
9.5
7.5
7.5
7
D组(无添加)
0.2
0.2
0.3
1
10
9
7
7
6.5

  ① 通过A组数据可以判断该工厂是污染源,依据是______________________。

   ② 进行B、C、D分组实验的目的是探究工厂排出的污染物主要是N含量超标还是P含量超标,其中D组起______________________作用。从实验结果可得出的结论是______________________。

试题详情

32.(9分)如下图所示,图甲为叶绿体结构与功能示意图,图乙表示一株小麦叶片细胞内C3相对含量在一天24 h 内的变化过程,请据图分析:

 

  (1)从图甲可知,在a 中发生的反应称为___________,参与此反应的特有物质有__________。

  (2)a结构中能将光能转化为电能的色素是___________。在叶绿体色素的提取和分离实验中,滤纸条上扩散速度最快的色素是___________。

  (3)从图乙可知,从___________点开始合成有机物,至___________有机物合成终止。

  (4)AB段C3含量较高,其主要原因是_________________________________。

  (5)G点C3含量极少,其原因是____________________________________________

  (6)G点与F点相比,叶绿体中NADPH含量较___________(填“高”或“低”)。

试题详情

31.(10分)2008 年1月我国南方大部分地区遭受严重的冻雨和暴雪灾害,在寒冷的环境中解放军和武警战士积极投身抗灾抢险,有些战士连续几个昼夜奋战在抗灾一线。请根据人体新陈代谢及调节的相关知识回答下列问题:

⑴战士们处于寒冷的环境中,机体通过代谢活动增强,皮肤血管___________等过程维持体温恒定,这种调节方式属于___________。体温之所以保持相对恒定是机体的___________和___________两个过程相对平衡的结果。

  (2)一些战士在抢险中不能及时补充到食物,如图为他们处于饥饿状态时血液中两种物质的变化曲线,其中血糖浓度保持相对稳定直接依赖于___________分解。血液中游离脂肪酸浓度上升的原因是___________。若水分也不能及时得到补充,则___________分泌的抗利尿激素将___________,通过排尿量的变化调节机体水分的平衡。

  (3)为尽快消除冰雪恢复交通,战士们进行了长时间高强度的体力劳动,骨骼肌细胞在供氧不足时会产生大量的___________进入血液,与血液中的___________ (缓冲物质)发生作用,维持内环境的稳态。

试题详情


同步练习册答案