0  317378  317386  317392  317396  317402  317404  317408  317414  317416  317422  317428  317432  317434  317438  317444  317446  317452  317456  317458  317462  317464  317468  317470  317472  317473  317474  317476  317477  317478  317480  317482  317486  317488  317492  317494  317498  317504  317506  317512  317516  317518  317522  317528  317534  317536  317542  317546  317548  317554  317558  317564  317572  447090 

38. 在下列科学研究的过程中,采用的技术手段相似的一组是:

①证明光合作用的过程中释放的氧气来自于水  ②研究分泌蛋白合成、运输和分泌的过程 

③肺炎双球菌转化实验 ④T2噬菌体侵染细菌的实验证明DNA是遗传物质 

A.①②③④       B.①②③       C.②③④       D. ①②④

试题详情

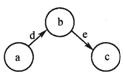
37.右图是表示某些信息传递机制的模式图,图示中箭头表示信息的传递方向。下列有关叙述中,正确的是

A.如果该图表示反射弧,则其中的信息都是以局部电流形式传导的

B.若abc依次为下丘脑、垂体、甲状腺,则c分泌的甲状腺激素对a分泌d,b分泌e具有抑制作用

C.如果该图表示细胞中遗传信息的表达过程,则d过程只发生于细胞核中

D.如果该图表示食物链中信息传递的方向,则在生态系统中信息传递的方向是单向的

试题详情

36. 如右图所示,A、B、C、D、E、F各代表一种生物种群,下列对该图分析合理的是

A.该图表示一个生物群落

B.图中C种群获得的能量占A种群能量的10%-20%

C.若D种群为增长型年龄组成,则E种群密度将逐渐增大

D.E和F存在着地理隔离和生殖隔离

试题详情

35.下表表示人体细胞外液和细胞内液的物质组成和含量的测定数据。相关叙述不正确的是

A.④属于细胞内液,因为其含有较多的蛋白质、K+

B.②属于血浆,③属于组织液,②的蛋白质含量比③多

C.肌细胞中的CO2从产生场所扩散到②至少需穿过5层磷脂分子层

D.③与④的成分存在差异的主要原因是细胞膜的选择透过性

试题详情

34.下面有关生物实验的叙述中错误的一组是

①将糖尿病病人的尿液加入斐林试剂,混匀后呈现砖红色沉淀

②用显微镜观察根尖细胞有丝分裂时,看到的分生区细胞在右下方,为使观察目标移至视野中央,应该将装片向右下方移动

③观察洋葱根尖细胞有丝分裂时,品质好的高倍镜可以看到细胞从分裂前期到末期的变化

④观察细胞质壁分离时,浸润在0.3g/mL蔗糖溶液中的紫色洋葱表皮细胞液泡颜色变深了

⑤用高倍镜观察线粒体可用健那绿染色,使线粒体呈现灰绿色

⑥在观察DNA和RNA在细胞中的分布可用吡罗红甲基绿染色剂染色

A.①②⑥   B.②③④   C.③④⑤    D.①③⑤

试题详情

33.选择适合的实验材料和正确科学的研究方法是取得成功的关键。下列关于实验材料选择和科学实验方法及技术使用的叙述中,不正确的是

A.孟德尔在研究豌豆遗传的杂交实验时,运用了“假说-演绎法”

B.观察植物细胞有丝分裂选择根尖分生区,观察减数分裂可选择成熟的精巢

C.格里菲思利用肺炎双球菌研究遗传物质时,运用了放射性同位素标记法

D.质壁分离和质壁分离复原选择引流法,叶绿体色素分离采用纸层析法

试题详情

32. 下图为人体内体温调节的示意图,有关叙述不正确的是:

A. 当受到寒冷刺激时,a、b、c、d激素的分泌均会增加 

B. 上图可反映出激素具有分级调节的特点

C. 下丘脑是感觉体温变化的主要中枢,是形成冷觉、热觉的部位 

D. c、d激素分泌增多,可促进骨骼肌与内脏代谢活动增强,产热量增加

试题详情

31. 通过转基因技术可使哺乳动物的乳腺细胞分泌人类所需的各种物质,下列各种物质中,不能通这一途径获得的是:

A. 凝血酶      B. 消化酶      C. 性激素     D. 生长激素

试题详情

30. 下列关于人体血糖调节说法正确的是:

A. 人体血糖浓度只受激素的调节

B. 胰岛素和胰高血糖素相互协同,共同维持血糖稳定

C. 胰岛素是唯一能降血糖的激素,胰高血糖素是唯一能升高糖的激素

D. 血糖调节过程中存在着反馈调节机制

试题详情

29.下列疾病中可以用显微镜进行检测的有:

①镰刀型细胞贫血症   ②21三体综合征   ③猫叫综合征   ④色盲症

A. ①②③     B. ①②     C. ①②③④     D. ②③

试题详情


同步练习册答案