0  317887  317895  317901  317905  317911  317913  317917  317923  317925  317931  317937  317941  317943  317947  317953  317955  317961  317965  317967  317971  317973  317977  317979  317981  317982  317983  317985  317986  317987  317989  317991  317995  317997  318001  318003  318007  318013  318015  318021  318025  318027  318031  318037  318043  318045  318051  318055  318057  318063  318067  318073  318081  447090 

45. 分析某大肠杆菌细胞分子组成,不能得到的结论是:

成分

蛋白质
DNA
RNA
糖类
脂类
代谢中间产物
无机离子
相对含量(%)
70
15
1
6
3
2
2
1
分子种类
1
3000
1
1000
50
40
500
12

A. DNA是遗传物质            B. 一个DNA分子上有很多个基因 

C. 蛋白质是生命活动的主要体现者     D. 每一种糖类平均能形成10种中间产物

第II卷(填空题  共60分)

试题详情

44.经人类染色体组型分析发现,有2%-4%的精神病患者的性染色体组成为XYY。诸多案例显示XYY综合症患者有反社会行为和暴力倾向,有人称多出的Y染色体为“犯罪染色体”。下列关于XYY综合症的叙述正确的是     

A.患者为男性,可能是由母方减数第一次分裂异常所致

B.患者为女性,可能是由母方减数第二次分裂异常所致

C.患者为男性,可能是由父方减数第二次分裂异常所致

D.患者为女性,可能是由父方减数第二次分裂异常所致

试题详情

43. 根据下图,下列关于神经细胞叙述错误的是

A.上图可表示突触小泡等各种膜结构

B.静息电位的形成可能与膜上的b物质有关

C.假设这是突触后膜,则突触间隙位于图示膜的上部

D.将神经细胞膜的磷脂层平展在水面上,c与水面接触

试题详情

42.下列关于正常人体内环境稳态的调节,前者随后者变化的情况与右图走势不相符的是

A.抗利尿激素分泌量--饮水量

B.T细胞浓度--HIV浓度

C.胰岛素浓度--血糖浓度   

D.促甲状腺激素浓度--甲状腺激素浓度

试题详情

41.人体在神经系统和体液的调节下,通过各个器官、系统的协调活动,共同维持着内环境的相对稳定状态。下列与人体稳态相关的叙述中不正确的是:

A.血浆中存在缓冲物质,维持着pH的稳定

B.人体肝脏、肾脏的病变都会影响到内环境稳态的维持

C.某高热病人,体温持续维持在38℃,其原因是产热量高于散热量

D.水、盐代谢的平衡使细胞生活环境的渗透压保持相对稳定

试题详情

40.下图是科学家对果蝇一条染色体上的基因测定结果。下列有关

该图的说法中,正确的是:

A. 控制朱红眼与深红眼的基因是等位基因

B. 控制白眼和朱红眼的基因在遗传时遵循基因的分离定律

C. 该染色体上的基因在后代中一定都会表达

D. 该染色体上的碱基数A=T、G=C

试题详情

39.下列有关遗传变异的四种说法,不正确的是:

A.中心法则体现了遗传信息传递的一般规律   

B.高茎豌豆(Dd)产生的雌、雄配子的比例为1∶1

C.马和驴杂交生出的骡子是二倍体

D.基因突变不一定引起生物性状发生改变

试题详情

38. 在下列科学研究的过程中,采用的技术手段相似的一组是:

①证明光合作用的过程中释放的氧气来自于水  ②研究分泌蛋白合成、运输和分泌的过程 

③肺炎双球菌转化实验 ④T2噬菌体侵染细菌的实验证明DNA是遗传物质 

A.①②③④       B.①②③       C.②③④       D. ①②④

试题详情

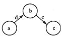
37.右图是表示某些信息传递机制的模式图,图示中箭头表示信息的传递方向。下列有关叙述中,正确的是

A.如果该图表示反射弧,则其中的信息都是以局部电流形式传导的

B.若abc依次为下丘脑、垂体、甲状腺,则c分泌的甲状腺激素对a分泌d,b分泌e具有抑制作用

C.如果该图表示细胞中遗传信息的表达过程,则d过程只发生于细胞核中

D.如果该图表示食物链中信息传递的方向,则在生态系统中信息传递的方向是单向的

试题详情

36. 如右图所示,A、B、C、D、E、F各代表一种生物种群,下列对该图分析合理的是

A.该图表示一个生物群落

B.图中C种群获得的能量占A种群能量的10%-20%

C.若D种群为增长型年龄组成,则E种群密度将逐渐增大

D.E和F存在着地理隔离和生殖隔离

试题详情


同步练习册答案