0  328504  328512  328518  328522  328528  328530  328534  328540  328542  328548  328554  328558  328560  328564  328570  328572  328578  328582  328584  328588  328590  328594  328596  328598  328599  328600  328602  328603  328604  328606  328608  328612  328614  328618  328620  328624  328630  328632  328638  328642  328644  328648  328654  328660  328662  328668  328672  328674  328680  328684  328690  328698  447090 

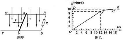
14、(15分)如图甲所示,空间存在B=0.5T,方向竖直向下的匀强磁场,MN、PQ是相互平行的粗糙的长直导轨,处于同一水平面内,其间距L=0.2m,R是连在导轨一端的电阻,ab是跨接在导轨上质量m=0.1kg的导体棒,从零时刻开始,通过一小型电动机对ab棒施加一个牵引力F,方向水平向左,使其从静止开始沿导轨做加速运动,此过程中棒始终保持与导轨垂直且接触良好,图乙是棒的速度一时间图像,其中OA段是直线,AC是曲线,DE是曲线图像的渐近线。小型电动机在12s末达到额定功率P=4.5W,此后功率保持不变,除R以外,其余部分的电阻均不计,g=10 m/s2

(1)求导体棒在0-12s内的加速度大小;

(2)求导体棒与导轨间的动摩擦因数及电阻R的阻值;

(3)若已知0-12s内R上产生的热量为12.5J,牵引力做的功为多少?

试题详情

13、(12分)交流发电机的发电原理是矩形线圈在匀强磁场中绕垂直于磁场的轴OO’匀速转动。一小型发电机的线圈共220匝,线圈面积S=0.05m2,线圈转动的频率为50Hz,线圈内阻不计,磁场的磁感应强度B=T。为用此发电机所发出交流电带动两个标有“220V  11kW”的电机正常工作,需在发电机的输出端a、b与电机之间接一个理想变压器,电路如图。求:

(1)发电机的输出电压为多少?

(2)变压器原副线圈的匝数比为多少?

(3)与变压器原线圈串联的交流电流表的示数为多少?

 

试题详情

12、(选修3-4)(12分)

(1)(4分)如图所示为两列简谐横波沿同一绳传播在时刻的波形图,已知甲波向左传,乙波向右传。请根据图中信息判断以下正确的说法是________(填写字母序号)。

   、由于两波振幅不等,故两列波相遇时不会发生干涉现象;

   、两列波同时传到坐标原点;

   处的质点开始振动时的方向向轴的负方向;

   、两列波相遇时会发生干涉且处为振动加强的点;

(2)(8分)一简谐横波沿x轴正方向传播,在t=0时刻的波形如图所示.已知介质中质点P的振动周期为2s,此时P质点所在位置的纵坐标为2cm,横坐标为0.5 m.试求从图示时刻开始在哪些时刻质点P会出现在波峰?

试题详情

11、某同学要测量一节旧电池的电动势和内阻,实验器材仅有一个电流表、一个电阻箱、一个开关和导线若干,该同学按如图所示电路进行实验,测得的数据如下表所示.

实验次数
1
2
3
4
5
R(Ω)
4.0
10.0
16.0
22.0
28.0
I(A)
1.00
0.50
0.34
0.25
0.20
1/I(A-1)
1.0
2.0
2.9
4.0
5.0

(1)若利用图象确定电池的电动势和内阻,则应作       (选填“R- I”或“R- 1/I”)图象;

(2)利用测得的数据在坐标纸上画出适当的图象;

(3)由图象可知,该电池的电动势E=     V,内阻r=   Ω;

(4)利用该实验电路测出的电动势E和内阻r与真实值Er相比,理论上E     Er     r(选填“>”、“<”或“=”).

试题详情

10、在“验证机械能守恒定律”的实验中,

(1)选出一条纸带如图所示,其中O点为起始点(速度为零),A、B、C为三个计数点,打点计时器通以50Hz交流电,用最小刻度为mm的刻度尺,测得OA=11.13cm,OB=17.69cm,OC=25.90cm。在计数点A和B之间、B和C之间还各有一个点,重锤的质量为m,取g=9.8m/s2,根据以上数据当打点针打到B点时,重锤的重力势能比开始下落时减小了___________,这时它的动能是____________,结论是:在忽略误差的情况下,重锤的机械能守恒.为增加该实验小组实验结果的可靠性,你认为应该____________________。

(2)该同学从实验结果发现,当使用钩码拉动纸带下落时,加速度比实际的重力加速度小.为了有效地缩小这个实验测得的加速度与实际的重力加速度之差,请你提出一个有效的改进方法:___________________________________________

(3)本实验得到的数据与机械能守恒存在一定的差距,你在实验中遇到这种情况时处理的做法是:           

试题详情

9、如图所示,一根不可伸长的轻绳两端分别系着小球A和物块B,跨过固定于斜面体顶端的小滑轮O,倾角为30°的斜面体置于水平地面上.A的质量为mB的质量为4m.开始时,用手托住A,使OA段绳恰处于水平伸直状态(绳中无拉力),OB绳平行于斜面,此时B静止不动.将A由静止释放,在其下摆过程中,斜面体始终保持静止,下列判断中正确的是(    ) 

  A.物块B受到的摩擦力先减小后增大

  B.地面对斜面体的摩擦力方向一直向右

  C.小球A的机械能守恒

  D.小球A的机械能不守恒,AB系统的机械能守恒

试题详情

8、绕有线圈的铁芯直立在水平桌面上,铁芯上套着一个铝环,线圈与电源、电键相连,如图所示.线圈上端与电源正极相连,闭合电键的瞬间,铝环向上跳起.若保持电键闭合,则(   )

A.铝环不断升高 

B.铝环停留在某一高度

C.铝环跳起到某一高度后将回落

D.如果电源的正、负极对调,观察到的现象不变

试题详情

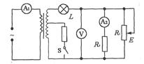
7、在如图所示的电路中,理想变压器的初级加一个固定的交变电压,那么下列情况正确的是(   )

A、当滑动触头E上移时,灯泡L变亮

B、当滑动触头E上移时,电流表A1的读数变小

C、当滑动触头E上移时,电压表V的读数变大

D、当闭合开关S时,电流表A1的读数变大,A2的读数变小

试题详情

6、电路中的电容器和电感线圈对交变电流都有阻碍作用,这种阻碍作用分别称为容抗和感抗.容抗和感抗的大小都与交流电的频率有关,下面的说法中正确的是:(   )

A、交流电的频率越高,电容器的容抗越小 B、交流电的频率越高,电容器的容抗越大 C、交流电的频率越低,线圈的感抗越小 D、交流电的频率越低,线圈的感抗越大

试题详情

5、研究表明,无限大的均匀带电平面在周围空间会形成与平面垂直的匀强电场.现有两块无限大的均匀绝缘带电平面,一块带正电,一块带负电,把它们正交放置如图甲所示,单位面积所带电荷量的数值相等.图甲中直线A1B1A2B2分别为带正电的平面和带负电的平面与纸面正交的交线,O为两交线的交点.则图乙中能正确反映等势面分布情况的是(   )

 

试题详情


同步练习册答案