0  329835  329843  329849  329853  329859  329861  329865  329871  329873  329879  329885  329889  329891  329895  329901  329903  329909  329913  329915  329919  329921  329925  329927  329929  329930  329931  329933  329934  329935  329937  329939  329943  329945  329949  329951  329955  329961  329963  329969  329973  329975  329979  329985  329991  329993  329999  330003  330005  330011  330015  330021  330029  447090 

19.5-溴尿嘧啶能代替胸腺嘧啶与腺嘌呤配对。现将含有两对同源染色体的精原细胞,放在含5-溴尿嘧啶的原料中进行减数分裂。则该细胞所产生的四个精子中,含5-溴尿嘧啶的精子占

A.25%   B.50%     C.75%     D.100%

试题详情

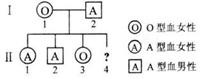
18.人的血型是由红细胞表面抗原决定的。右图为某家庭的血型遗传图谱。从图中可知

A.IA基因对i 基因为不完全显性

B.IA基因对IB基因为并显性

C.控制人血型的基因位于常染色体上

D.该对夫妇再生一个O型血男孩的概率为1/2

试题详情

17.右图是新鲜绿叶的四种光合色素在滤纸上分离的情况,以下说法正确的是

A.提取色素时加入乙醇是为了防止叶绿素分解

B.水稻在开花时节,叶片中色素量是(甲+乙)<(丙+丁).

C.乙色素都能将光能转化电能

D..四种色素都能溶解在层析液中,丁色素的溶解度最大

试题详情

16.在植物受伤时,一种由18个氨基酸组成的多肽--系统素会被释放出来,与受体结合,活化蛋白酶抑制基因,抑制害虫和病原微生物的蛋白酶活性,限制植物蛋白的降解,从而阻止害虫取食和病原菌繁殖。下列关于系统素的描述正确的是

    A.系统素能抑制植物体内与蛋白酶有关的基因的表达

    B.内含18个肽键的系统素是一种信号传递分子

    C.系统素遇双缩脲试剂在常温下会产生紫色反应

    D.系统素相当于植物体内的“抗体”,能与外来的“抗原”发生特异性的结合

试题详情

15.在某哺乳动物(体细胞染色体数=24)的睾丸中,细胞甲和细胞乙的染色体、染色单体、核DNA分子数依次是24、48、48和12、24、24。下列关于细胞甲和细胞乙的分裂方式的判断正确的是

A.细胞甲、乙可能都在进行减数分裂

B.细胞甲、乙可能都在进行有丝分裂

C.细胞甲、乙分别在进行减数分裂、有丝分裂

D.细胞甲、乙分别在进行有丝分裂、减数分裂

试题详情

14.右图是11种昆虫A-K的栖息环境特性(Y轴)与寄主植物(X轴)的关系图,图中Y轴中点连线(虚线)表示对栖息环境无所偏好。根据图中的关系,下列选项中错误的是

A.取食山柑科的昆虫主要是生活在潮湿环境,偏好阳光充足的环境的昆虫有两种

B.仅两种昆虫可能同时以山柑科和十字花科植物为食

C.昆虫G较H对栖息的环境要求高,昆虫H较昆虫G食物种类多,有食物的季节也较长

D.取食十字花科植物叶片的昆虫种类比取食十字花科植物花序的少

试题详情

13.某雌雄异株植物,其叶型有阔叶和窄叶两种类型,由一对等位基因控制。现有三组杂交实验,结果如下表。下列有关表格数据的分析,错误的是

A.仅根据第2组实验,无法判断两种叶型的显隐性关系

B.根据第1或3组实验可以确定叶型基因位于X染色体上

C.用第2组的子代阔叶雌株与阔叶雄株杂交,后代中窄叶雄性植株占1/2

D.用第1组子代的阔叶雌株与窄叶雄株杂交,后代窄叶植株占1/4

试题详情

12.右图中的三个圆圈①、②、③分别表示含有细胞壁、核糖体、中心体的细胞,那么阴影部分表示的细胞可能是                      

A.肝细胞                        B.衣藻细胞

C.乳酸菌细胞                    D.棉花叶肉细胞

试题详情

11.基因型为AaBbCc(三对等位基因位于三对同源染色体上)的精原细胞进行减数分裂,产生的精细胞的基因型为abc,那么初级精母细胞的基因型为

A.aabbcc   B.aaaabbbbcccc  

C.AaBbCc   D.AAaaBBbbCCcc

试题详情

10.细菌蛋白质在极端环境条件下可通过肽链之间的二硫键维持稳定。已知不同的多肽产物可因分子量不同而以电泳方式分离。下列左图是一个分析细菌蛋白的电泳结果图,“-”代表没加还原剂,“+”代表加有还原剂,还原剂可打断二硫键,“M”代表某些已知分子量的蛋白质或多肽,M右侧的数字代表这些蛋白质或多肽的相对分子量。右图中的“-”代表二硫键。根据左侧结果,右图中最能代表该细菌蛋白质结构的是

试题详情


同步练习册答案