0  330788  330796  330802  330806  330812  330814  330818  330824  330826  330832  330838  330842  330844  330848  330854  330856  330862  330866  330868  330872  330874  330878  330880  330882  330883  330884  330886  330887  330888  330890  330892  330896  330898  330902  330904  330908  330914  330916  330922  330926  330928  330932  330938  330944  330946  330952  330956  330958  330964  330968  330974  330982  447090 

2.下列有关细胞器的叙述,正确的是                                   (   )

     A.原核生物的细胞结构中无线粒体,只能通过无氧呼吸获取能量

     B.在生物细胞有丝分裂的后期,染色体向两极移动与中心粒发出的星射线形成的纺锤体牵引有关

     C.抗体在核糖体合成后,依次进入内质网和高尔基体加工

     D.叶绿体普遍存在于绿色植物体细胞中,可通过光合作用制造有机物

试题详情

1.成熟的神经细胞在兴奋时,下列几种酶中活跃的是                          (   )

     A.RNA聚合酶             B.DNA解旋酶

     C.蛋白酶、脂肪酶                 D.与ATP和ADP相互转化有关的酶

试题详情

30、(4分)Ⅰ化合物A、B、C、D均为一元含氧衍生物,如图中涉及的7个转化均为中学化学中的常见反应。

(1)    B的分子中一定含有的官能团是______(填名称)。

C 的分子中一定含有的官能团是______(填结构简式)。

(2) 指出反应类型:A→B___________反应;C→D_______反应;

Ⅱ.(15分)结构的研究是有机化学最重要的研究领域。某有机物X(C12H13O6Br)分子中含有多种官能团,其

结构简式如图1:(其中Ⅰ、Ⅱ为未知部分的结构)。为推测X的分子结构,进行如图2转化:

已知向D的水溶液中滴入FeCl3溶液显紫色,对D的结构进行光谱分析,在氢核磁共振谱上显示只有两种信号(即只有两种不同性质的氢原子)。M、N互为同分异构体,M中含有一个六原子环,N能使溴的四氯化碳溶液褪色,G能与NaHCO3溶液反应。请回答:

(1)G分子所含官能团的名称是__________________;

(2)D不可以发生的反应有(选填序号)_____________;

①加成反应    ②消去反应    ③氧化反应     ④取代反应

(3)写出图2转化中反应①和②的化学方程式

①B+F→M_________________________________________________;

②G→N______________________________________________________;

(4)已知向X中加入FeCl3溶液,能发生显色反应,则X的结构简式是____________    _____;

该结构的1mol X与足量的NaOH溶液作用,最多可消耗NaOH________mol。

(5)有一种化工产品的中间体W与G互为同分异构体,W的分子中只含有羧基、羟基和醛基三种官能团,

且同一个碳原子上不能同时连有两个羟基,则W的分子结构有_____种,写出任意一种的结构简式。

试题详情

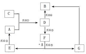
29.(14分)A、B、C、D、E、F、G七种物质间存在如图所示的转化关系,其中A、B、D、G含有同种元素。已知:(Ⅰ)A为金属单质; B为红褐色固体;E为密度最小的气体;G为浅绿色溶液。

(Ⅱ)D为黄色溶液,能与硝酸银溶液反应生成不溶于稀硝酸的白色沉淀。

(Ⅲ)D能将某种氧化物氧化为F,F是含有三种元素的化合物。

请回答下列问题:

(1)上述反应中属于置换反应的是      (填序号)。

(2)G生成B有多种途径。若在G的溶液中加入与G等物质的量的Na2O2,恰好使G转化为B,写出该反应的离子方程式:              

反应③(即D将某种氧化物氧化为F)的离子方程式                              

(3)D的水溶液显酸性,请用离子方程式解释原因               

(4)实验室制取C的化学方程式为                       。对气体C进行如下实验。已知整个反应过程中,每消耗0.1mol KI,转移的电子数约为3.612×1023 个。请按照要求填空:

实验步骤
实验现象
用化学用语解释
将少量气体通入淀粉KI溶液
溶液最初变成  
                      (用离子方程式表示)
继续通入气体
溶液逐渐变成无色
                      (用化学方程式表示)

试题详情

28.(18分)某学习小组利用下图所示装置进行“铁与水气反应”和其他实验(略去了夹持仪器)。

(1) 给硬质玻璃管B加热的仪器名称是_________

(2)B中发生反应的化学方程式是__________________________________________________。

 

(3)为了安全,加热E以前必须进行的操作是________________________________________。

(4)已知有反应:Cu20+2H+Cu+Cu2++H20,则可用来检验反应后E中的红色固体中除Cu外是否含Cu20,可用的试剂是________(填序号)

 a.稀硝酸    b.稀硫酸    c.盐酸     d.浓硫酸 

(5)在E后若再接二个盛碱石灰的干燥管(依次称为F和G),则还可用该装置测定水的组成或铜的相对原子质量。若反应前盛有药品的E、F的质量分别是bg、cg,反应后分别是dg、eg。

①水中元素的物质的量之比可表示为(不用化简)n(H):n(0)= ________:_______;若反应后E中除Cu外还含有另种还原产物Cu20,则该比值将___________ (选填“偏大”“偏小”或“无影响”)。

②若空的E管的质量为ag,加热后CuO完全还原为Cu,则铜的相对原子质量可表示为______________________________。

(6)某学生为了检验反应后固体的成分,反应前在E管中加入了氧化铜16g,反应后称量固体的质量变为13.6g,则13.6g的成分为:    (若为混合物,需计算出各自的质量)

试题详情

27.(9分) A、B、C、D四种短周期元素,原子序数依次增大,离子半径依次减小,A与C可形成原子个数比

分别为l∶1和1∶2的两种离子化合物X、Y,A与D的原子序数之和等于B与C的原子序数之和,请回答下列

问题:

(1)X的电子式为:       ,C的原子结构示意图为        ,A、B的气态氢化物更稳定的是      (填化学式)

(2)单质D在CO2中燃烧的化学方程式为                   

(3) 2 mol C的氢氧化物与2 mol B单质在一定条件下恰好完全反应,生成一种盐、水及一种气体,写出该反

应的化学方程式                      

(4)常温下,B、C形成的化合物的水溶液中所有离子的物质的量浓度由大到小的顺为           

试题详情

13.分子式为C6H12O2的有机物A,有香味,不能使紫色石蕊试液变红。A在酸性条件下水解生成有机物B和C。B能和碳酸氢钠溶液反应生成气体;C不能发生消去反应生成烯烃,能催化氧化生成醛或酮。则A可能的结构有

A.1种       B.3种        C.5种       D.多于5种

试题详情

12.以下是分离乙酸乙酯、乙酸、乙醇的混合物的流程图,图中圆括号内填入适当的试剂,方括号内填入适当的分离方法,方框内是有关物质的名称。下列说法正确的是(   )

  A.a为NaOH溶液,①为蒸馏        

B.②、 ③均为蒸馏,①为分液

C.②为分液,C中含有醋酸钠      

D.b可以是硫酸,也可以是盐酸

试题详情

11.已知下列热化学方程式:

(1)CH3COOH(l)+2O2(g) === 2CO2(g)+2H2O(l)   △H1= -870.3 kJ·mol-1

(2)C(s)+O2(g) === CO2(g)            △H2= -393.5 kJ·mol-1

(3)H2(g)+O2(g) ===  H2O(l)           H3= -285.8 kJ·mol-1

则反应2C(s)+2H2(g)+O2(g)===CH3COOH(l) 的△H为(   )kJ·mol-1

A.+488.3     B.-244.15      C.-488.3     D. +244.15

试题详情

10、下列比较中,正确的是(   )

A.同温度同物质的量浓度时,HF比HCN易电离,则NaF溶液的pH比NaCN溶液大

B.0.2 mol·LNH4Cl和0.1 mol·L NaOH溶液等体积混合后:

  c(NH)>c(Cl)>c(Na)>c(OH)>c(H)

C.物质的量浓度相等的H2S和NaHS混合溶液中:c(Na)+c(H)=c(S)+c(HS)+c(OH)

D.同浓度的下列溶液中,①NH4Al(SO4)2、②NH4Cl、③CH3COONH4、④NH3·H2O;

c(NH)由大到小的顺序是:①>②>③>④

试题详情


同步练习册答案