0  333616  333624  333630  333634  333640  333642  333646  333652  333654  333660  333666  333670  333672  333676  333682  333684  333690  333694  333696  333700  333702  333706  333708  333710  333711  333712  333714  333715  333716  333718  333720  333724  333726  333730  333732  333736  333742  333744  333750  333754  333756  333760  333766  333772  333774  333780  333784  333786  333792  333796  333802  333810  447090 

11.已知点P是双曲线(a>0,b>0)右支上一点,F1、F2分别是双曲线的左、右焦点,I为△PF1F2的内心,若S△IPF1=S△IPF2+S△IF1F2成立,则双曲线的离心率为

   A.4       B.       C.2         D.

试题详情

10.如图是函数y=Asin(ωx+)(A>0,ω>0,||<)在一个周期内的图象,M,

N分别是最大、最小值点,且,则A·ω

的值为

   A.       B.                        

   C.     D.

试题详情

9.函数f(x)=为奇函数的充要条件是

   A.0<a<1     B.0<a≤1     C.a>1       D.a≥1

试题详情

8.已知两个不重合的平面α、β及三条不重合的直线m、n、l.给出下列命题

   ①当mα,且nα时,若n∥α,则m∥n;

   ②当α⊥β,α∩β=m,n  β时,若n⊥m,则n⊥α;

   ③当mα时,若m⊥β,则α⊥β;

   ④当m⊥α,n⊥β时,若m∥n,则α∥β

   则逆命题成立的个数是

   A.1       B.2        C.3        D.4

试题详情

7.已知向量满足||=1,||=2,|2+|=2,则向量方向上的投影为

   A.-     B.       C.-1       D.1

试题详情

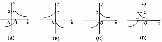
6.若函数f(x)=则函数y=f(2-x)的图象大致是

试题详情

5.点P(x,y)满足x2+y2-2x-2y-2≤0,点P到直线3x+4y-22=0的最大距离是

   A.5       B.1        C.-1     D.+1

试题详情

4.正方体ABCD-A1B1C1D1中,E是A1B1的中点,则异面直线AD1与CE所成的角为

   A.      B.       C.        D.

试题详情

3.等差数列{}中,是其前n项和,又=2,则等于

   A.1       B.2        C.3        D. 

试题详情

2.已知集合M={x||x|>2},N={x|x<3},则下列结论正确的是

   A.M∪N=M            B.M∩N={x|2<x<3}

   C.M∪N=R            D.M∩N={x|x<-2}

试题详情


同步练习册答案