0  334801  334809  334815  334819  334825  334827  334831  334837  334839  334845  334851  334855  334857  334861  334867  334869  334875  334879  334881  334885  334887  334891  334893  334895  334896  334897  334899  334900  334901  334903  334905  334909  334911  334915  334917  334921  334927  334929  334935  334939  334941  334945  334951  334957  334959  334965  334969  334971  334977  334981  334987  334995  447090 

4. 学校为了调查学生在课外读物方面的支出情况,

抽出了一个容量为且支出在[20,60)元的样

本,其频率分布直方图如右图所示,其中支出

元的同学有人,则的值为

A.       B.

C.       D.  

试题详情

3. 已知集合,则的充要条件是

A.    B.     C.      D.

试题详情

2. 已知变量满足的最小值是

A. 2        B. 3         C. 4         D. 5

试题详情

项是符合题目要求的。

1. 为虚数单位,若,则的值为

A.        B.       C.           D.

试题详情

21.(本小题满分12分)本小题主要考察直线、圆、椭圆、直线与圆锥曲线的位置关系等基本

知识. 考察推理论证能力、运算求解能力,考察数形结合思想、化归与转化思想.

解:(Ⅰ)依题可得:

     所以椭圆的方程为:          ………………………(4分)

(Ⅱ)由

解得:               ………………………(7分)

(Ⅲ)存在                      ………………………(8分)

理由如下:

方程有且只有一个实根即为函数的图象与直线只有一

个公共点.

(1)若,则,在实数集R上单调递增

此时,函数的图象与直线只有一个公共点.   ………………(9分)

(2)若,则  ………………………(10分)

列表如下:

 

试题详情

20. (本小题满分12分)命题立意:本小题主要考查直线与直线、直线与平面、平面与平面

的位置关系等基础知识,考查了空间想象能力、推理论证能力和运算能力以及化归与转化

能力.

解:(Ⅰ)中,

………………………(2分)

            ………………………(12分)

试题详情

18.(本小题满分12分)本小题主要考查概率等基础知识,考查运算求解能力、应用数学知

识分析和解决实际问题的能力。

解:(Ⅰ)因都可取1、2、3、4、5、6,

故以为坐标的点共有36个          ………………………(2分)

                 ………………………(12分)

试题详情

22. (本小题满分14分)

已知函数.

(Ⅰ)若函数的图象在处的切线与直线平行,求实数的值;

(Ⅱ)设函数,对满足的一切的值,都有成立,

求实数的取值范围;

(Ⅲ)当时,请问:是否存在整数的值,使方程有且只有一个实根?若

存在,求出整数的值;否则,请说明理由.

     ,

所以的值域为             ………………………(12分)

试题详情

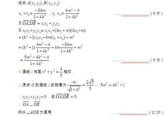
21.(本小题满分12分)

已知椭圆的离心率为,点为椭圆上的一点,O为坐标原(Ⅰ)求椭圆的方程;

(Ⅱ)已知直线为圆的切线,直线交椭圆于A、B两点,

求证:为直角。

试题详情

20.(本小题满分12分)

如图,在四棱锥中,是等边三角形,侧面

底面,其中

(Ⅰ)若上任一点,求证:平面⊥平面

(Ⅱ)求三棱锥的体积。

试题详情


同步练习册答案