0  336649  336657  336663  336667  336673  336675  336679  336685  336687  336693  336699  336703  336705  336709  336715  336717  336723  336727  336729  336733  336735  336739  336741  336743  336744  336745  336747  336748  336749  336751  336753  336757  336759  336763  336765  336769  336775  336777  336783  336787  336789  336793  336799  336805  336807  336813  336817  336819  336825  336829  336835  336843  447090 

17.(2分)能将乙醇、汽油、乙醛、醋酸四种溶液区分开的一种试剂是      

试题详情

15.(  )人们使用四百万只象鼻虫和它们的215磅粪物,历经30多年时间弄清了棉子象鼻虫的四种信息素的组成,它们的结构可表示如下(括号内表示④的结构简式)

      

以上四种信息素中互为同分异构体的是 

  A.①和②         B.①和③        C.③和④       D.②和④

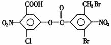
  (  )16、已知苯环上由于取代基的影响,使硝基邻位上的卤原子的反应活性增强,现有某有机物的结构简式如右:

1mol该有机物与足量的氢氧化钠溶液混合并共热,充分反应后最多可消耗氢氧化钠的物质的量为

A.5mol           B.6mol         C.7mol         D.8mol

试题详情

14.(  )抗除虫菊酯是一类高效.低毒.对昆虫具有强烈触

杀作用的杀虫剂,其中对光稳定的溴氰菊酯的结构

简式如右图所示,下列对该化合物叙述正确的是

A.属于芳香烃           

B.属于卤代烃

   C.在酸性条件下不水解       

D.在一定条件下可以发生加成反应

试题详情

13.(  )羰基碳原子上连有甲基的化合物,与碘在强碱溶液中发生碘仿反应:

  则下列化合物中能发生

  碘仿反应的是

 A.          B.

C.      D.

试题详情

12.(  )在实验室进行下列实验,不使用水浴加热的是

A.苯的硝化反应              B.制取酚醛树脂  

C.乙醛与Cu(OH)2反应           D.醛的银镜反应

试题详情

11.(  )芳香族化合物A的分子式为,将它与溶液混合加热,有酸性气体产生.那么包括A在内,属于芳香族化合物的同分异构体的数目是

 A.5           B.4        C.3             D.2

试题详情

10.(  )维生素C的结构简式如下图,有关它的叙述错误的是

   

A.是一个环状的酯类化合物          B.易起加成及氧化反应

C.可以溶解于水               D.在碱性溶液中能稳定地存在

试题详情

9.(  )分子式为C5H12O的有机物,它的同分异构体中,经氧化可生成醛的有

A.4种         B.3种        C.2种         D.5种

试题详情

8.(  )苯甲酸和山梨酸(CH3-CH  CH-CH  CH-COOH)都是常用的食品防腐剂。下列物质中只能与其中一种酸发生反应的是

A.金属钾         B.溴水        C.氢氧化钡       D.甲醇

试题详情

7.(  )由CH3CH3→CH3CH2Cl→CH2=CH2→CH3CH2OH的转化过程中,经过的反应是

    A.取代→加成→氧化              B.裂解→取代→消去 

C.取代→消去→加成              D.取代→消去→水解

试题详情


同步练习册答案