0  337654  337662  337668  337672  337678  337680  337684  337690  337692  337698  337704  337708  337710  337714  337720  337722  337728  337732  337734  337738  337740  337744  337746  337748  337749  337750  337752  337753  337754  337756  337758  337762  337764  337768  337770  337774  337780  337782  337788  337792  337794  337798  337804  337810  337812  337818  337822  337824  337830  337834  337840  337848  447090 

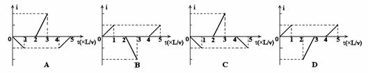
21.如图所示,在PQ、QR区域中存在着磁感应强度大小相等、方向相反的匀强磁场,磁场方向均垂直于纸面.一直角三角形闭合导线框abc位于纸面内,框的ab边与bc边互相垂直.导线框与磁场区域的尺寸如图所示.从t=0时刻开始,线框匀速穿过两个磁场区域,速度方向与bc边平行,并垂直于磁场边界.以逆时针方向为线框中电流i的正方向,以下四个i-t关系示意图中正确的是:

第Ⅱ卷(非选择题 共174分)

试题详情

20.如图所示,在一个匀强电场(图中未画出)中有一个四边形ABCD,其中,M为AD的中点,N为BC的中点.一个带正电的粒子从A点移动到B点,电场力做功为WAB=2.0×109J;将该粒子从D点移动到C点,电场力做功为WDC=4.0×l09J.则以下分析正确的是:

A.若粒子的电量为2×109C,则UBA=1V

B.若将该粒子从M点移动到N点,电场力做功为WMN=3.0×109J

C.若A、B之间的距离为lcm,粒子的电量为2×107C,该电场的场强一定是E=1V/m

D.N点的电势可能比M点的电势高

试题详情

19.如图所示,AB为斜面,BC为水平面,从A点以水平初速度v向右抛出一小球,其落点与A的水平距离为s1,从A点以水平初速度2v向右抛出一小球,其落点与A的水平距离为s2,不计空气阻力,s1∶s2可能为

A.1∶2  B.1∶3  C.1∶4  D.1∶5

试题详情

18.已知太阳光从太阳射到地球需要500s,地球半径约为6.4×106m,地球公转角速度约为2×107rad/s,根据上述数据以及日常天文知识,可以估算太阳的质量与地球质量之比约为:

A.3.3×103  B.3.3×105  C.9.7×107  D.9.7×109

试题详情

17.如图甲是一列沿x轴正方向传播的简谐横波在t=0时刻的图象,此刻x=5m的质元刚开始振动。如图乙是该波在t=0.2s时刻的波的图象,已知这段时间内x=7m的质元Q有两次到达波峰的经历,则该波:

A.该波的波速为100m/s 

B.图乙时刻Q点的振动方向沿y正方向

C.波源开始振动方向沿y负方向 

D.从t=0开始,经0.05s,Q的路程为10cm

试题详情

16.如图所示,设有一分子位于图中的坐标原点O处不动,另一分子则位于正x轴上不同位置处。图中纵坐标表示这两个分子间

分子力的大小,两条曲线分别表示斥力或引力的大小随两分子间距离变化的关系,e为两曲线的交点,则:

A.ab线表示引力,cd线表示斥力,e点的横坐标约为1010m

B.ab线表示斥力,cd线表示引力,e点的横坐标约为1015m

C.另一分子从A向C运动过程中,它将一直加速运动

D.另一分子从A向C运动过程中,分子势能逐渐减小

试题详情

15.如图所示,两平行细光束a、b从空气中垂直射入直角玻璃三棱镜的AB面,对应的折射光线为a′、b′,且a′、b′有发散的趋势,则下列说法正确的是:

A.b光束在棱镜中传播速度较大

B.若a′光为黄光,则b′光可能为红光

C.在相同的条件下做双缝干涉实验,b光束得到的干涉条纹间的距离较大

D.若改变光线a、b在AB界面上的入射角,则光在AB界面上一定不能发生全反射,在AC界面上可能发生全反射。

试题详情

14.若一群处于第5能级的氢原子向低能级跃迁时辐射的光子中,有5种频率的光子能使某金属发生光电效应,则氢原子从第3能级向低能级跃迁时,辐射的光子中,有几种光照射到该金属上时能产生光电效应?

A.0  B.1  C.2  D.3

试题详情

13.将4mol金属Al全部转化为Al(OH)3,共计消耗HCl a mol,NaOH b mol,则a+b的最小值为

A.4mol  B.6mol  C.8mol  D.16mol

试题详情

12.某学生设计了如下图所示的方法对A盐溶液进行鉴定:

由此分析,下列结论中不正确的是

A. A中一定有Fe3+  B. C中一定有Fe3+

C. A可能为Fe2(SO4)3  D. B一定为BaSO4

试题详情


同步练习册答案