0  338167  338175  338181  338185  338191  338193  338197  338203  338205  338211  338217  338221  338223  338227  338233  338235  338241  338245  338247  338251  338253  338257  338259  338261  338262  338263  338265  338266  338267  338269  338271  338275  338277  338281  338283  338287  338293  338295  338301  338305  338307  338311  338317  338323  338325  338331  338335  338337  338343  338347  338353  338361  447090 

14.在下列两个核反应方程中,X1、X2分别代表一种粒子。①﹢X1;  ②﹢X2,以下判断中正确的是

A.①是重核裂变反应            B.②是轻核聚变反应

C.X1是α粒子,此种粒子形成的射线具有很强的贯穿本领

D.X2是中子,X2的质量等于质量之和减去的质量

试题详情

13.已知:H2(g)+I2(g)2HI(g),△H<0,该反应是一个可逆反应。若反应物起始物质的量相同,下列关于该反应的示意图正确的是

试题详情

12.300℃时,将100 mL由H2O、CO2和N2组成的混合气体,通入到盛有足量Na2O2的密闭容器中(容器体积保持不变),充分反应后恢复到原温度时,容器内的压强变为原来的四分之三。则原混合气体中N2的体积分数为

A.33.3%     B.25%     C.50%      D.75%

试题详情

11.常温下,在10 mL 0.2 mol/L某一元强酸HA的溶液中逐滴加入a mL 0.1 mol/L的氨水,下列有关说法中正确的是

A.当c()=c(A)时,a一定等于20

B.当c()>c(A)时,a一定大于20

C.当c(H+)>c(OH)时,a一定小于20

D.当pH=7时,c()=c(A)=c(H+)=c(OH)

试题详情

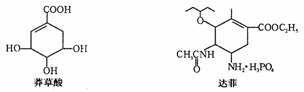
10.达菲是治疗甲型H1N1流感的有效药物之一。合成达菲的原料是莽草酸,已知莽草酸和达菲的结构简式如下图所示,则有关说法中不正确的是

A.1 mol莽草酸与足量金属钠反应最多可生成2 mol氢气

B.达菲既可催化加氢,又可使酸性KMnO4溶液褪色

C.达菲既可发生水解反应,又可与Br2的CCl4溶液发生加成反应

D.莽草酸既可与FeCl3溶液发生显色反应,又可与NaHCO3溶液反应放出CO2

试题详情

9.关于元素周期表和元素周期律的说法中正确的是

A.第ⅠA族元素的金属性一定比第ⅡA族的强

B.F、Na+、Mg2+、Al3+的离子半径依次增大

C.第ⅥA族元素的氢化物中,稳定性最强的其沸点最低

D.按照元素周期表的排布规律,非金属元素最多为23种

试题详情

8.设NA为阿伏加德罗常数,下列说法中不正确的是

A.20 gD2O中含有的中子数为10NA   B.3 g甲醛中含有的共价键数为0.4NA

C.14 g乙烯和丙烯的混合物中含有的原子总数为2NA

D.含NA个阳离子的CaC2固体投入足量水中,产生的乙炔为22.4L(标准状况)

试题详情

7.下列关于化学键和物质结构的说法中正确的是

A.干冰和水晶熔化时,所克服的作用力相同

B.原子晶体氮化硅制成的陶瓷具有熔点高、硬度大等特点

C.由非金属元素组成的化合物一定是共价化合物

D.不同元素组成的多原子分子里的化学键一定是极性键

试题详情

6.某元色溶液中加入铝粉有氢气放出,则在该溶液中可能大量共存的离子组是

A.K+、OH     B.Fe3+、Ba2+、H+、I

C.H+、Cl      D.Na+、Al3+

试题详情

5.某线性DNA分子含有5000个碱基对(bp),先用限制酶a切割,再把得到的产物用限制酶b切割,得到的DNA片段大小如下表。限制酶a和b的识别序列和切割位点如下图所示。下列有关说法不正确的是

A.在该DNA分子中,a酶与b酶的识别序列分别有3个和2个

B.a酶与b酶切出的粘性末端不能相互连接

C.a酶与b酶切断的化学键相同

D.用这两种酶和DNA连接酶对该DNA分子进行反复切割、连接操作,若干循环后,

序列会明显增多

试题详情


同步练习册答案