0  338974  338982  338988  338992  338998  339000  339004  339010  339012  339018  339024  339028  339030  339034  339040  339042  339048  339052  339054  339058  339060  339064  339066  339068  339069  339070  339072  339073  339074  339076  339078  339082  339084  339088  339090  339094  339100  339102  339108  339112  339114  339118  339124  339130  339132  339138  339142  339144  339150  339154  339160  339168  447090 

22.(14分)已知数列的前项和满足。高

    (1)写出数列的前三项

    (2)求数列的通项公式;

    (3)证明:对任意的整数,有

试题详情

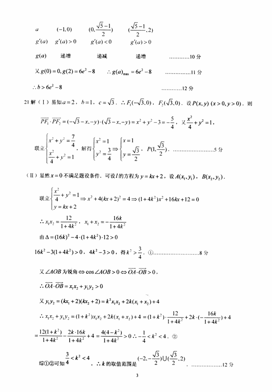
21.(12分)已知分别是椭圆的左、右焦点。

    (I)若P是第一象限内该椭圆上的一点,,求点P的坐标;

    (II)设过定点M(0,2)的直线与椭圆交于同的两点A、B,且为锐角(其中O伟坐标原点),求直线的斜率的取值范围。高

试题详情

20.(12分)已知

    (I)若,求的单调区间和极值;

    (II)已知的两个不同的极值点,且,若

    恒成立,求实数b的取值范围。

试题详情

19.(12分)如图,四棱锥的底面是矩形,底面ABCD,P为BC边的中点,SB与平面ABCD所成的角为,且。高

    (1)求证:PD平面

    (2)求二面角的大小。

试题详情

17(12分)已知向量,向量与向量夹角为,且。高

(1)    求向量

(2)    若向量与向量=的夹角为,向量,其中A、B、C为ABC的内角,且依次成等差数列。求的取值范围。

18.(12分)某社区举办2010年上海世博会知识宣传活动,进行现场抽奖,抽奖规则是:盒中装有10张大小相同的精美卡片,卡片上分别印有“世博会会徽”或“海宝”(世博会吉祥物)图案,参加者每次从盒中抽取卡片两张,若抽到两张都是“海宝”卡即可获奖。

    (1)活动开始后,一位参加者问:盒中有几张“海宝”卡?主之人说:我只知道若从盒中抽两张都不是“海宝”卡的概率是,求抽奖者获奖的概率;高

    (2)现有甲乙丙丁私人依次抽奖,抽后放回,另一个人再抽,用表示获奖的人数,求得分布列及

试题详情

16.已知偶函数在区间上单调递增就,且满足,给出下列判断:上减函数;(3)的图像关与直线对称;(4)函数处取得最大值;(5)函数没有最小值,其中正确的序号是     

试题详情

15.某单位邀请10位教师中的6人参加一个研讨会,其中甲、乙两位教师不能同时参加,则邀请的不同方法有     

试题详情

14.若曲线在点发P处的切线与直线垂直,则点P的坐标是    

试题详情

13.二项式的展开式中,常数项为     。高

试题详情

12.函数的图像关于直线对称。据此可推测,对任意的非零实数a,b,c,m,n,p, 关于x的方程的解集都不可能是

    A.           B.        C.        D.

第II卷

试题详情


同步练习册答案