0  340689  340697  340703  340707  340713  340715  340719  340725  340727  340733  340739  340743  340745  340749  340755  340757  340763  340767  340769  340773  340775  340779  340781  340783  340784  340785  340787  340788  340789  340791  340793  340797  340799  340803  340805  340809  340815  340817  340823  340827  340829  340833  340839  340845  340847  340853  340857  340859  340865  340869  340875  340883  447090 

19、如图甲所示,两物体AB叠放在光滑水平面上,对物体A施加一水平力FF-t关系图象如图乙所示。两物体在力F作用下由静止开始运动,且始终相对静止,则:

 

A.两物体做匀变速直线运动

   B.AB的摩擦力方向始终与力F的方向相同

   C.2s-3s时间内两物体间的摩擦力逐渐减小

   D.0s-1s与1s-2s时间内,F对物体做功一样多

试题详情

18、如图所示,两光滑平行金属导轨水平放置在匀强磁场中,磁场与导轨所在平面垂直,金属棒可沿导轨自由移动,导轨一端跨接一个定值电阻,金属棒和导轨电阻不计;现用恒力将金属棒沿导轨由静止向右拉,经过时间t1速度为v,加速度为a1,最终以2v做匀速运动。若保持拉力的功率恒定,经过时间t2,速度也为v,但加速度为a2,最终同样以2v的速度做匀速运动,则:

A.t1>t2     B.t1=t2   

C.a2=2a1    D.a2=3a1

试题详情

17、如图所示,圆柱形的仓库内有三块长度不同的滑板aO、bO、cO,其下端都固定于底部的圆心O点,而上端则搁在仓库侧壁,三块滑板与水平面的夹角依次是30O、45O、60O。若有三个小孩同时从a、b、c处开始下滑(忽略阻力),则:

A.a处小孩先到O点;   B.b处小孩先到O点;

C.c处小孩先到O点;   D.a、b、c处小孩同时到O点;

试题详情

16、“嫦娥一号”于2009年3月1日成功发射,从发射到撞月历时433天,其中,卫星先在近地圆轨道绕行3周,再经过几次变轨进入近月圆轨道绕月飞行。若月球表面的自由落体加速度为地球表面的1/6,月球半径为地球的1/4,则根据以上数据可得:

A.绕月与绕地飞行周期之比为3/2     B.绕月与绕地飞行周期之比为2/3

C.绕月与绕地飞行向心加速度之比为1/6  D.月球与地球质量之比为1/96

试题详情

15、一负电荷从电场中A点由静止释放,只受电场力作用,沿电场线运动到B点,它运动的vt图象如图甲所示,则两点AB所在区域的电场线分布情况可能是图乙中的:

 

试题详情

14、如图,在水平力F作用下,AB保持静止。若AB的接触面是水平的,且F不等于0,则关于B的受力个数可能为:

A.3个   B.4个  

C.5个   D.6个

试题详情

13、锂电池是新一代高能电池,以质轻、能高而受到普遍重视。目前已经研制成功了多种锂电池。某种锂电池的电池反应为Li + MnO2 = LiMnO2,若该电池提供5库电量(不计损耗),则消耗的正极材料质量约为(电子电量1.60×1019C):

A.3.5×103g  B.7×104g   C.4.52×103g   D.4.52×102g 

试题详情

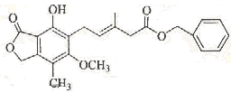
12、有关下图所示化合物的说法错误的是:

A.既可以与Br2的CCl4溶液发生加成反应,又可以在光照下与Br2发生取代反应

B.1 mol该化合物最多可以与3 mol NaOH溶液反应

C.既可以催化加氢,又可以使酸性KMnO4溶液褪色

D.既可以与FeCl3溶液发生显色反应,又可以与NaHCO3溶液反应放出CO2气体

试题详情

11、相同体积的PH=1的强酸溶液和弱酸溶液分别与足量的锌完全反应,下列说法正确的是:

A.强酸溶液产生的H2多       B.弱酸溶液产生的H2

C.两者产生的H2一样多       D.无法比较

试题详情

10、下列离子方程式正确的是:

A.甲酸钠溶液和盐酸反应:HCOO- + H+ = HCOOH

B.硫氢化钠溶液的水解:HS- + H2O   H3O+ + S2-

C.醋酸钡溶液和硫酸反应:Ba2+ + SO42- = BaSO4

D.把镁粉放入FeCl3溶液中: 2Fe3+ +3Mg +6H2O = 2Fe(OH)3↓+3Mg2+ +3H2

试题详情


同步练习册答案