0  348275  348283  348289  348293  348299  348301  348305  348311  348313  348319  348325  348329  348331  348335  348341  348343  348349  348353  348355  348359  348361  348365  348367  348369  348370  348371  348373  348374  348375  348377  348379  348383  348385  348389  348391  348395  348401  348403  348409  348413  348415  348419  348425  348431  348433  348439  348443  348445  348451  348455  348461  348469  447090 

8.(1)玻璃管内的空气作等温变化    

              ①

              ②

            ③

(2)设水银槽内水银面下降,水银体积不变

             ④

       ⑤

  ⑥

试题详情

7.在确定方向上原子有规律地排列

在不同方向上原子的排列规律一般不同

原子排列具有一定对称性等

试题详情

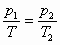
6. 设状态3的温度为T

1-3为等压过程 (1)

3-2为等容过程 (2)

消去T即得 (3)

试题详情

5.8.7×104,6613(数值在6550到6650范围内均可)

试题详情

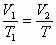
4.设A的体积为V,T1=300K,T2=330K,S=0.2m2,h1=0.6m,  h2=0.6+0.05=0.65m,  等压变化 (h1S-V/T1)=(h2S-V)/T2,  (h1S-V)T2=(h2S-V)T1,  即V=((h1T2-h2T1)/(T2-T1))S   =((0.6×330-0.65×300)/(330-300))×0.2=0.02m3

试题详情

3.AC

试题详情

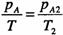
2.解:(1)开始时,PA0=2大气压,VA0=V0/3

打开阀门,A室气体等温变化,pA=l大气压,体积VA

   pA0VA0=pAVA     ①

     ②

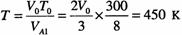
(2)从T0=300K升到T,体积为V0,压强为PA,等压过程

  ③

T1=400K<450K,pA1=pA=p0,水银柱的高度差为0

从T=450K升高到T2=540K等容过程,

     ④

=1.2大气压    ⑤

T2=540K时,水银高度差为15.2cm

评分标准:全题12分.第(1)小题4分,第(2)小题8分.其中

(1)得出①、②各得2分。

(2)得出③式,得3分;结果正确,得三分。

得出④、⑤式,各得1分;结果正确,得2分。

试题详情

1.(1)U形管两端均开口,所以两竖直管内水银面高度应相同,即右边竖直管内水银柱高度为

(厘米)              1

右边水平管内水银柱长度为

14--2=4(厘米)

右边水银柱总长是

4+2=6(厘米)           2

(2)左边的水银全部进入竖直管内时,两竖直管内水银面高度均为

(厘米)           3

此时,右边水平管内水银柱长度为2厘米,所以空气柱长为

=14-2=12(厘米)             4

           5

(开)     6

(3)设温度为开时,空气柱长为

等压过程                    7

(厘米)           8

其中有2厘米进入左边竖直管内

∴右管内水银面高度为(厘米)           9

左管内水银上表面高度为(厘米)       10

评分标准:全题12分。

(1)3分,正确得出结果2,得3分,仅得出1式,得1分。

(2)5分,正确得出4式,得2分,仅得出3式,得1分,正确得出6式,得3分,仅得出5式,得2分。

(3)4分,正确得出8式,得2分,仅写出7式,得1分,得出9式、10式,各1分。

试题详情

20.(2009)如图,粗细均匀的弯曲玻璃管A、B两端开口,管内有一段水银柱,右管内气体柱长为39cm,中管内水银面与管口A之间气体柱长为40cm。先将口B封闭,再将左管竖直插入水银槽中,设整个过程温度不变,稳定后右管内水银面比中管内水银面高2cm,求:

(1)稳定后右管内的气体压强p

(2)左管A端插入水银槽的深度h。(大气压强p0=76cmHg)

第六单元 分子动理论 气体的性质答案

试题详情

19.(2009)如图为竖直放置的上细下粗的密闭细管,水银柱将气体分隔成A、B两部分,初始温度相同。使A、B升高相同温度达到稳定后,体积变化量为DVADVB,压强变化量为DpADpB,对液面压力的变化量为DFADFB,则(   )

(A)水银柱向上移动了一段距离       (B)DVADVB

(C)DpADpB            (D)DFADFB

试题详情


同步练习册答案