0  353806  353814  353820  353824  353830  353832  353836  353842  353844  353850  353856  353860  353862  353866  353872  353874  353880  353884  353886  353890  353892  353896  353898  353900  353901  353902  353904  353905  353906  353908  353910  353914  353916  353920  353922  353926  353932  353934  353940  353944  353946  353950  353956  353962  353964  353970  353974  353976  353982  353986  353992  354000  447090 

4.已知某闭花授粉植物(2n=28)高茎(D)对矮茎(d)为显性,在♀DD×♂dd杂交中,若D基因所在的同源染色体在减数第一次分裂时不分离,产生的雌配子染色体数目及在这种情况下杂交后代的株高表现型分别为                         (   )

    A.13或15   高茎或矮茎         B.14   高茎或矮茎

    C.13或15   高茎            D.14   高茎

试题详情

3.下列对处于不同免疫状态的小鼠分析合理的是                          (   )

    A.吞噬细胞缺陷的小鼠特异性免疫无法产生

    B.胸腺被破坏的小鼠因无淋巴因子产生,无体液免疫

    C.骨髓被破坏的小鼠输入造血干细胞后能恢复体液免疫和细胞免疫

    D.B细胞缺陷的小鼠虽无法合成抗体,但仍能对结核杆菌产生免疫反应

试题详情

2.下列关于基因工程中运载体的叙述不正确的是                          (   )

    A.目的基因导入受体细胞后,受体细胞即发生基因突变

    B.目的基因与运载体结合的过程发生在细胞外

    C.运载体对宿主细胞的生理代谢不起作用

    D.常用的运载体有质粒、噬菌体和动植物病毒等

试题详情

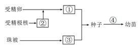
1.右图表示大豆种子的形成和萌发过程,据图分析,正确的叙述是            (   )  

    A.④过程中①的干重不断增加

    B.④过程初期需要添加必需矿质元素

    C.①到幼苗过程细胞中核DNA的种类不变,RNA不同

    D.若③中细胞的基因型为EeFf,则②中细胞的基因型为EeeFff

试题详情

35.近几年来,中美安全关系发生了重大的变化,积极的因素明显增加,合作不断加强,但消极面仍然存在,其未来发展仍有许多不确定的因素。这就要求我们要                 (   )

    ①在对立统一中把握中美两国的关系

    ②用变化发展的观点看待中美关系

    ⑨根据主要矛盾认清中美关系的性质

    ④充分发挥国际因素对我国发展的决定性作用

    A.①③          B.②④          C.①②         D.②③  

第Ⅱ卷(综合题,共160分)

说明:本卷共4大题,共160分。

试题详情

34.在许多重大问题上,美中合作至关重要。这是因为                      (   )

    A.中美关系发展形式多样  

    B.中美两国在发展过程中存在共同利益

    C.中美两国的大国地位影响国际关系

    D.中美两国的根本利益存在一致性

试题详情


同步练习册答案