0  354174  354182  354188  354192  354198  354200  354204  354210  354212  354218  354224  354228  354230  354234  354240  354242  354248  354252  354254  354258  354260  354264  354266  354268  354269  354270  354272  354273  354274  354276  354278  354282  354284  354288  354290  354294  354300  354302  354308  354312  354314  354318  354324  354330  354332  354338  354342  354344  354350  354354  354360  354368  447090 

4.下列文献记载中,最能从根本上决定春秋战国时期社会发展趋势的是         (   )

    A.“礼乐征伐自诸侯出”

    B.“神农乃始教民,尝百草之滋味”

    C.“恶金(指铁)以铸锄夷斤欘,试诸壤土。”

    D.“伐木而树谷,燔莱而播粟,火耕而水耨”

试题详情

3.罗马帝国皇帝高度重视法律制定,许多法学家纷纷前来献策。下列四人的主张不可能被采纳的是                          (   )

    A.丙建议政府保护一切自由民的财产不可侵犯   

    B.甲倡导自由民平等、法律公正

    C.乙主张废除原法中基于身份等级的不平等条款  

    D.丁提出增加处理经济纠纷条款

试题详情

2.右图福建土楼已被列入世界文化遗产名录,在著名的承启楼前有一幅楹联:“一本所生,亲疏无多,何须待分你我;共楼居住,出入相见,最易结重人伦”。该联所体现的文化内涵源于下列哪一种制度              (   )

    A.郡县制

    B.分封制

    C.宗法制

    D.科举制

试题详情

1.皇帝和大臣讨论如何选拔人才。大臣主张:“应该只问他们个人能力的高低,不要计较他们的家世背景。”皇帝反对大臣的说法,强调“历时久长的世家才是培养人才的沃土,这才是选拔人才的重要标准”。这件事最有可能发生在                   (   )

    A.秦汉时期     B.南北朝时期     C.隋唐时期       D.明清时期

试题详情

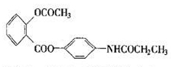
5.(6分)某种解热镇痛药的结构简式如图所示:

当它完全水解时可得到的产物有     种;写出其中含有苯环的产物的结构简式:

                    

焦作市2009-2010学年(下)高二期末测试

试题详情

4.(5分)现有CH4、C2H4、C2H2、C2H6、C3H8五种有机物,回答下列问题:

⑴.质量相同时,在相同状况下体积最大的是__ ____,完全燃烧时消耗O2的量最多的是__  __,生成的CO2最多的是___  _,生成水最多的是___ ___

⑵.同温同体积时,五种物质完全燃烧耗O2的量最多的是__  ____

试题详情

3.已知同一碳原子连有两个羟基不稳定:。有机物是选择性内吸传导性除草剂,俗称稗草烯,主要用于水稻田防除稗草,温度和湿度对药效影响大,温度高、湿度大药效发挥快。下列有关该有机物的说法不正确的是……………(   )

A.属于卤代烃,能使酸性高锰酸钾溶液和溴的四氯化碳溶液褪色

B.该物质既有手性异构,也有顺反异构

C.在碱性条件下充分水解,可生成羧酸盐

D.1mol 该物质在一定条件下可与4molH2发生加成反应

试题详情

2.一定量的乙醇在氧气不足的情况下燃烧,得到CO、CO2和水的总质量为27.6g,若其中水的质量为10.8g,则CO的质量是……………………………………( )

A.1.4g    B.2.2g

C.4.4g     D.在2.2g和4.4g之间

试题详情

1.以下是分离乙酸乙酯、乙酸、乙醇的混合物的流程图,图中圆括号内是适当的试剂,方括号内是适当的分离方法,方框内是有关物质的名称。下列说法正确的是……(  )

A.a为NaOH溶液,b是盐酸    B.①、②、 ③均为蒸馏

C.A是乙酸乙酯, ①为分液     D.b是硫酸,②为分液

试题详情

22.有机物A和B都含C:40% ,H: 6.7% ,O: 53.3% 。在标准状况下,A的密度为1.34×10-3g/mL,易溶于水,水溶液能发生银镜反应。B的蒸汽对H2的相对密度是30,其水溶液显酸性。通过计算,写出A、B的结构简式。

附加题(共20分)

试题详情


同步练习册答案