0  354647  354655  354661  354665  354671  354673  354677  354683  354685  354691  354697  354701  354703  354707  354713  354715  354721  354725  354727  354731  354733  354737  354739  354741  354742  354743  354745  354746  354747  354749  354751  354755  354757  354761  354763  354767  354773  354775  354781  354785  354787  354791  354797  354803  354805  354811  354815  354817  354823  354827  354833  354841  447090 

74.(10浙江自选模块)高中生物选修1--[生物技术实践专题](10分)

某同学进行苹果汁制作实验,工艺如下图所示。21世纪教育网

(1)图中用的溶液浸泡苹果的目的是_________________。黑曲霉提取液中含有的_________可水解果胶,从而使果汁澄清。固定化柱中填充的石英砂通过__________方式将酶固定化,酶被固定在用蒸馏水洗涤固定化柱是为了除去_________________。

(2)实验中,操作流程A和B的先后顺序为_________________。在苹果汁澄清过程中,应关闭的流速调节阀是________________。要测定从固定化柱流出的苹果汁中式否还有果胶,可取一定量的果汁与等量的______________混合,如果出现______________现象,说明果胶还没有被完全水解。为使果胶完全水解,应将流速调___  ______。21世纪教育网

(3) 试验后,将洗涤过的固定化柱在低温环境中保存若干天,该固定化柱仍可用于苹果汁制作实验,说明固定化酶可被____  __使用。

试题详情

73.(7分)香蕉果实成熟过程中,果实中的贮藏物不断代谢转化,香蕉逐渐变甜。图A中Ⅰ、Ⅱ两条曲线分别表示香蕉果实成熟过程中两种物质含量的变化趋势,请回答:

取成熟到第X天和第Y天的等量香蕉果肉,分别加等量的蒸馏水制成提取液,然后在a、b试管中各加5mL第X天的提取液,在c、d试管中各加5mL第Y天的提取液。如图B

(1)在a、c试管中各加入等量碘液后,a管呈蓝色,与a管相比c管的颜色更____________,两管中被检测的物质是____________,图A中标示这种物质含量变化趋势的曲线是____________。

(2)在b、d试管中加入等量的斐林试剂,煮沸后,b管呈砖红色,与b管相比d管的颜色更____________,两管中被检测的物质是____________,图A中表示这种物质含量变化趋势的曲线是____________。

(3)已知乙烯利能增加细胞内乙烯的含量,如果在第X天喷施乙烯利,从第X天开始,曲线I将呈现出___________(加快、减慢)下降的趋势,曲线Ⅱ将呈现出加快上升的趋势。

选答题部分:本部分有2道题供选择,必须选择其中一道作答,共用一个答题区,请在答题纸相应题号后涂好标志,并标清题号作答,否则,不得分。

试题详情

72.(8分)如下图表示生物体内某些有机物的组成关系及功能关系,其中D是RNA,C、E都是高分子化合物,C是主要的遗传物质,A、B是组成它们的基本单位,请据图分析回答:

(1)真核生物体内的A物质有     种,B物质在生物体内约有     种。

(2)合成C、D的A物质的不同点表现在           ,C物质和D物质在空间结构上的不同点表现在                       ,C物质与D物质的关系是                   

(3)C存在的主要场所是             

(4)C与E相比特有的元素是           

试题详情

说明:本大题分必答题和选答题二部分,请在相应答题区内作答,超过答题区部分不给分。

必答题部分:共3道题。

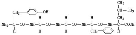
71.(5分)我国中科院上海生化所于1982年5月合成了一种具有镇痛作用而又不会像吗啡那样使病人上瘾的药物--脑啡肽,下面是它的结构简式。

请根据此化合物的结构分析回答:

(1)该化合物有__________个氨基和__________个羧基。

(2)该化合物叫__________肽,各个氨基酸之间以     连接,这种化学连接的结构可以简写成     

试题详情

70.(10四川卷)与酵母菌相比,硝化细菌具有的特点是(  )

A.无线粒体,只能通过无氧呼吸获得能量

B.无固氮酶,只能以含氮有机物作为氮源

C.无细胞核,只能通过出芽生殖方式繁殖后代

D.无染色体,只能在DNA水平产生可遗传变异

第II卷(非选择题  共30分)

试题详情

69.(10重庆卷)下列有关细胞结构和功能的叙述,正确的是(  )

A.在植物细胞有丝分裂末期高尔基体参与细胞壁形成

B.在动物细胞有丝分裂间期能观察到纺锤体和中心体

C.分泌蛋白合成后在内质网和细胞质基质中加工

D.质粒和线粒体是既有核酸又有外膜的细胞结构

试题详情

68.将双螺旋结构的DNA分子彻底水解,得到的产物是    (  ) 

A.两条多聚脱氧核苷酸链    B.四种脱氧核苷酸

C.磷酸、脱氧核糖、含氮碱基  D.C、H、O、N、P五种元素

试题详情

67.下列有关膜的叙述,错误的是         (  )   

A.细胞膜主要由蛋白质分子和磷脂分子组成

B.核膜和内质网在结构上有密切联系

C.线粒体膜和叶绿体膜中的蛋白质分子是相同的

D.细胞膜中的大多数蛋白质分子和磷脂分子不是静止的

试题详情

66.欲鉴别一个细胞是动物细胞还是植物细胞,应检查它    (  )    

A.有无叶绿体        B.有无液泡 

   C.有无中心体        D.有无细胞壁

试题详情

65.细胞核的主要功能是(  )

    A.进行能量转换    B.合成蛋白质            

C.控制细胞的代谢与遗传  D.储存能量物质

试题详情


同步练习册答案