0  354687  354695  354701  354705  354711  354713  354717  354723  354725  354731  354737  354741  354743  354747  354753  354755  354761  354765  354767  354771  354773  354777  354779  354781  354782  354783  354785  354786  354787  354789  354791  354795  354797  354801  354803  354807  354813  354815  354821  354825  354827  354831  354837  354843  354845  354851  354855  354857  354863  354867  354873  354881  447090 

6.向量满足的夹角为60°,则           (   )

    A.            B.

    C.           D.

试题详情

5.如果双曲线上一点P到它的右焦点的距离是8,那么点P到它的左焦点的距离是                            (   )

    A.4             B.12            C.4或12        D.不确定

试题详情

4.右图几何体的正视图和侧视图可能正确的是                            (   )

试题详情

3.“”是“”的                                      (   )

    A.充要条件                      B.充分而不必要条件

    C.必要而不充分条件               D.既不充分也不必要条件       

试题详情

2.复数                                                  (   )

    A.                       B.     

    C.                      D.

试题详情

1.已知集合,集合,则A∪B=                     (   )

    A.{0}                           B.{2}

    C.{0,2,4}                      D.{0,1,2,4}

试题详情

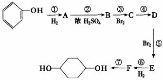
25.(6分)已知:(X代表卤素原子,R代表烃基)

利用上述信息,按以下步骤从合成

(部分试剂和反应条件已略去) 已知反应⑤为1,4加成反应,请回答下列问题:

 (1)请写出F的结构简式:F____         

(2)反应①-⑦中属于消去反应的是____    _____。(填数字代号)

(3)试写出CD反应的化学方程式(有机物写结构简式,并注明反应条件)

                              

试题详情

0.2mol有机物和0.4molO2在密闭容器中燃烧后的产物为CO2、CO和H2O(g)。产物

经过浓硫酸后,浓硫酸的质量增加10.8g;再通过灼热的氧化铜充分反应后,固体

质量减轻3.2g;最后气体再通过碱石灰被完全吸收,碱石灰质量增加17.6g 。

 (1)判断该有机物的化学式         ;

 (2)若0.2mol该有机物恰好与4.6g金属钠完全反应,试确定该有机物的结构简式。

                

试题详情

24.(4分)

试题详情

23. (12 分)已知1-丙醇和2-丙醇的结构简式如下:

1-丙醇:      2-丙醇:

下图是这两种物质的其中一种的核磁共振谱,并且峰面积比分别为1:1:6,

 

据此可知该物质是       (填名称);

关于1-丙醇和2-丙醇的说法正确的是            (多项选择);

A.发生消去反应生成相同产物     B.都能溶于水,也可溶于有机溶剂

C.2-丙醇比1-丙醇沸点低      D.都可以发生分子间脱水成醚

已知: 1-溴丙烷沸点:71°C   1-丙醇沸点:97.1℃   正丙醚沸点:90℃

实验室可以按右图装置制备1-溴丙烷。将1-丙醇和浓硫酸、溴化钠一起加热(加入几粒沸石),保持69-72℃继续回流2h。蒸馏,收集68-90℃馏出液,用碳酸钠溶液洗至中性,再蒸馏,收集68-76℃馏出液即1-溴丙烷。

(1)A装置名称        

(2)发生的有机反应的化学方程式为

______             __.

(3)为了防止副产物过多,本实验所用硫酸的浓度最好是:(    )

A. 10%     B. 30%     C. 70%      D. 98.3%

(4)也可以利用丙烯和HBr加成来制备。丙烯是石油     的产物,可直接作原料。

试题详情


同步练习册答案