0  355031  355039  355045  355049  355055  355057  355061  355067  355069  355075  355081  355085  355087  355091  355097  355099  355105  355109  355111  355115  355117  355121  355123  355125  355126  355127  355129  355130  355131  355133  355135  355139  355141  355145  355147  355151  355157  355159  355165  355169  355171  355175  355181  355187  355189  355195  355199  355201  355207  355211  355217  355225  447090 

3.(全国Ⅰ新卷文17)设等差数列满足

(Ⅰ)求的通项公式;

(Ⅱ)求的前项和及使得最大的序号的值。

解:  (1)由am = a1 +(n-1)d及a1=5,aw=-9得

        解得

数列{am}的通项公式为an=11-2n。           ……..6分

     (2)由(1) 知Sm=na1+d=10n-n2。

        因为Sm=-(n-5)2+25.

      所以n=5时,Sm取得最大值。            ……12分

试题详情

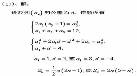
2.(全国Ⅰ卷文17)记等差数列的前项和为,设,且成等比数列,求.

试题详情

1.(北京卷文16)已知为等差数列,且

(Ⅰ)求的通项公式;

(Ⅱ)若等差数列满足,求的前n项和公式

试题详情

3.(浙江卷文14)在如下数表中,已知每行、每列中的树都成等差数列,那么,位于下表中的第n行第n+1列的数是    。

解析:第n行第一列的数为n,观察得,第n行的公差为n,所以第n0行的通项公式为

,又因为为第n+1列,故可得答案为,本题主要考察了等差数列的概念和通项公式,以及运用等差关系解决问题的能力,属中档题。

试题详情

2. (浙江卷理15)设为实数,首项为,公差为的等差数列的前项和为,满足,则的取值范围是__________________ .

解析:因为 所以(5a1+10d)(6a1+15d)=0,即,故,则的取值范围是.

试题详情

1.(辽宁卷文14)设为等差数列的前项和,若,则      。

解析:填15.  ,解得K^S*5U.C#

试题详情

4.(重庆卷文2)在等差数列中,,则的值为

(A)5     (B)6    (C)8       (D)10

[答案]A

[解析]由角标性质得,所以=5.

试题详情

3.(全国Ⅱ卷理4文6)如果等差数列中,,那么

(A)14      (B)21     (C)28       (D)35

[答案]C

[命题意图]本试题主要考查等差数列的基本公式和性质.

[解析]

试题详情

2.(福建卷理3)设等差数列的前n项和为,若,,则当取最小值时,n等于

A.6       B.7         C.8        D.9

[答案]A

[解析]设该数列的公差为,则,解得

所以,所以当时,取最小值。

[命题意图]本题考查等差数列的通项公式以及前n项和公式的应用,考查二次函数最值的求法及计算能力。

试题详情

1.(安徽卷文5)设数列的前n项和,则的值为

(A) 15      (B)  16     (C)  49     (D)64

A

[解析].

[方法技巧]直接根据即可得出结论.

试题详情


同步练习册答案