0  355276  355284  355290  355294  355300  355302  355306  355312  355314  355320  355326  355330  355332  355336  355342  355344  355350  355354  355356  355360  355362  355366  355368  355370  355371  355372  355374  355375  355376  355378  355380  355384  355386  355390  355392  355396  355402  355404  355410  355414  355416  355420  355426  355432  355434  355440  355444  355446  355452  355456  355462  355470  447090 

3. equip… with用……装备

Our classroom is equipped with a TV set and a tape recorder.

Equip yourself with everything that you’ll need in the future.

拓展:

equip…for/to do sth.

equipment n.装备,设备(不可数名词)

office equipment办公设备  K^S*5U.C#

a piece of equipment一件设备(注意不说an equipment)

考点例题:

Every classroom in some schools ________________________(equip) a computer for the convenience of teaching.

试题详情

2. thanks to幸亏,因为

Thanks to the efforts by the headmaster, I can go back to school now.

It was thanks to his advice that I succeeded.

以下短语也表示“因为,由于”之意

because of/owing to/due to具有介词性质,后面要接something或somebody,不能接从句

试题详情

1. struggle for为……而斗争

They had to struggle for their lives against the bad weather.

People in that country are still struggling for peace.

struggle with 与……作斗争K^S*5U.C#

struggle against与……作斗争

carry on a struggle

a life-and –death struggle生死搏斗

struggle to one’s feet

试题详情

5. particular adj.特殊的;特别的

There was nothing in the letter of particular importance.

Are there particular topics that you would like me to explain further?

拓展:

in particular特别,尤其

You should avoid eating fat meat, pork in particular.

be particular about 对……挑剔,讲究的

He’s very particular about what he eats.

试题详情

4. astonish vt.使惊讶

What he said at the meeting astonished everyone present.

拓展:

(1)多用过去分词作表语和定语,表示“感到惊讶的”,如:

I am astonished that he didn’t pass the exam.

(2)其另一形容词astonishing 表示“令人惊讶的,惊人的”,如:

It is astonishing to me that he should be present.

注:astonishment n.惊讶

in astonishment 惊讶地

考点例题:

It was such an _________________________ performance that it astonished all the audiences.

试题详情

3. suitable adj.合适的;适合的(suit v.)

They are looking for a suitable person to take over Mr Brown’s job.

The film is not suitable for children –it’s full of violence.

拓展:辨析:suit与fit

fit 指大小、形状的合适,引申为吻合、协调。suit 指合乎需要、口味、条件、地位,以及花色、款式等与某人的皮肤、气质、身材或身份相称。match 多指大小、色调、形状、性质等的搭配

(1)It doesn’t ________ you to have your hair cut short.

(2)Carpets should ________ the curtains. K^S*5U.C#

(3)Does the coat ________ you?

试题详情

2. certain adj.确定的;某一个

She is certain to do well in the examination.

It’s about certain that the government will lose the next election.

A certain person called on my yesterday.

拓展:

for certain 肯定地;确凿地(certainty n.)

make certain of把……弄清楚

make certain that+从句 把……弄清楚

注:certainty n.确实的事情

with certainty肯定地

试题详情

1. reduce vt.减少,缩减

The price of these shoes has been reduced since the New Year’s Day.

The new bridge reduces the traveling time from 50 minutes to 15 minutes.

reduce to减少到,使……变为(更小尺寸)

reduce by减少了,(以……的比例)减少

拓展:

reduction n.缩减,减少,降低

make a reduction打折扣

at a reduction of打了……的折扣

考点例题:

We can _________________ in price of the hat for you because we are now making a reduction.

试题详情

2.(重庆卷文16)已知是首项为19,公差为-2的等差数列,的前项和.

(Ⅰ)求通项

(Ⅱ)设是首项为1,公比为3的等比数列,求数列的通项公式及其前项和.

试题详情

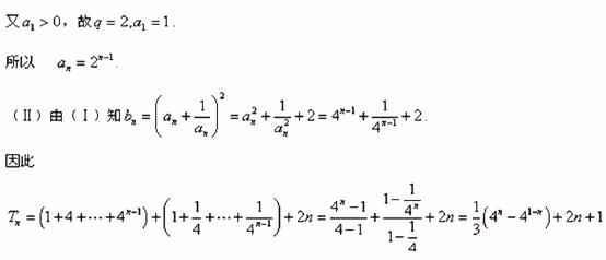
1. (全国ⅠⅠ卷文18) 已知是各项均为正数的等比数列,且

(Ⅰ)求的通项公式;

(Ⅱ)设,求数列的前项和

[命题意图]本题考查了数列通项、前项和及方程与方程组的基础知识。

(1)设出公比根据条件列出关于的方程求得,可求得数列的通项公式。

(2)由(1)中求得数列通项公式,可求出bn的通项公式,由其通项公式化可知其和可分成两个等比数列分别求和即可求得。

[解析](Ⅰ)设公比为q,则.由已知有

    化简得

试题详情


同步练习册答案