0  356712  356720  356726  356730  356736  356738  356742  356748  356750  356756  356762  356766  356768  356772  356778  356780  356786  356790  356792  356796  356798  356802  356804  356806  356807  356808  356810  356811  356812  356814  356816  356820  356822  356826  356828  356832  356838  356840  356846  356850  356852  356856  356862  356868  356870  356876  356880  356882  356888  356892  356898  356906  447090 

2.阿伏加德罗常数为6. 02 ×,下列叙述不正确的是

  ①12. 4g白磷晶体中含有的P-P键数是0.6 ×6.02 x

  ②电解精炼铜的过程转移6. 02×个电子时,阳极溶解32g铜

  ③7.8g的混合物中含有的阴离子数大于0.1×6.02×

  ④催化作用下于密闭容器中加热反应后,容器内的分子数大于2×6.02×

  ⑤2 9g熟石膏()含有结晶水的分子数为0.02×6 02× (2的相对分子质量为290)

  ⑥含的浓硫酸与足量铜反应,生成的分子数为0.1×6 02×

  A.①②③⑧⑤  B.①③④⑤⑥  C②③⑤⑥   D. ③④⑤⑥

试题详情

10.用下列实验装置实验,能达到相应实验目的的是

A.装置甲:防止铁钉生锈

B.装置乙:除去乙烯中混有的乙炔

C.装置丙:验证HCl气体在水中的溶解性

D. 装置验室制取乙酸乙脂

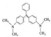
1l.近年来食品安全问题成为社会各界日益关注的焦点话题。香港地区食环署食物安全中心曾对十五个桂花鱼样本进行化验,结果发现十一个样本中含有孔雀石绿。孔雀石绿是化工产品,具有较高毒性,高残留,且长期服用后,容易致癌、致畸,对人体有害。其结构简式如

图所示。下列关于孔雀石绿的说法正确的是

  A.孔雀石绿的分子式为

  B l moI孔锃石绿在一定条件下最多可与6mol发生加成反应

  C孔雀石绿属于芳香烃

  D孔雀石绿苯环上的一氯取代物有5种

试题详情

6.净初级生产力(NPP:net primary productivity)是生产者能用于生长、发育和繁殖的能量值,也是生态系统中其他生物成员生存和繁衍的物质基础。净初级生产力=总初级生产力-自身 呼吸消耗。地球上的生态系统种类繁多,其净初级生产力有很大差异。下表为地球上主要生态系统的总而积及净初级生产力的数值。下列叙述错误的是(   )

  A.以上各类生态系统的组成成分是生产者、消费者和分解者

  B.陆地生态系统中的热带雨林是生物圈最主要的能量基地 

  c.群落结构单一的农田净初级生产力较高的主要原因是人为的使能量向农作物集中

  D.净初级生产力除未利用的部分外,其余的则被初级消费者和分解者利用

7 下列离子共存的说法或离子方程式的书写中,正确的一组是

  ①通入大量后的溶液中能大量共存的离子:

  ②的溶液中能大量共存的离子:

  ③水电离出的溶液中能大量共存的离子:

  ④溶液加人足量ikiaol1溶液共热:

  ⑤用食醋溶解水垢:

   

 ⑥硫酸氖钠溶液中滴入氢氧化钡溶液至

 

⑦用FeCl,溶液腐蚀铜电路板:

  A.①③⑦   B.②④⑦   C.②⑥⑦  D.③④⑥

8某密闭容器中发生如下反应:

右图表示该反应的速率(v)随时问(t)变化的关系,时刻外界条件有所改变,但都没有改变各物质的初始加入量。下列说法中正确的是

A.时加入了催化剂  B.时降低了温度           C.时增大了压强 

D.~时问内转化率最低

9由短周期元素组成的中学常见无机物A、B、C、 D、E、X存在如在右图转化关系(部分生成物和反应条件略去)下列推断不正确的是(   )

A若X是,C为含极性键的非极性分子,则A一定是氯气,且D和E不反应

B,若A是单质,B和D的反应是,则E一定能还原

c.若D为CO,C能和E反应,则A一定为,其电子式是Na'[O:O:]’Na'

D.若D为白色沉淀,与A摩尔质量栩等,则X一定是铝盐

试题详情

5.下图表示某生态系统中甲、乙两种群在一段时间内数量的变化情况。下列有关叙述错误的是(   )

A.两个种群问能量流动方向是甲→乙          

B. M时甲种群的出生率小于死亡率

C.两个种群数数量变化说明了信息传递是双向的

D.两种群数量波动会导致其中一个种群

灭亡

试题详情

4.在一个种群中AA占25%,Aa占50%,aa占25%。如果因为环境的变化,每年aa的个体减少20%,AA和Aa的个体分别增加20%。一年后,aa的个体在种群中的比例为(   )

  A.23.7%   B. 20%   C. 18. 2%   D.15.6%

试题详情

3.右图为某家族遗传病系谱图,下列说法正确的是(   ) 

 A.由l x2 4和5,可推知此病为显性遗传病

 B.根据6与9的关系,可推知致病基因在常染色体上                 

C.2号、5号的基冈型分别为AA、Aa

D.若7号和8号结婚,则生一个患病男

孩的概率为1/6

试题详情

2.美国一项新研究发现,细胞分裂增殖时一旦缺乏某种蛋白质将导致细胞癌变。则下列有关说法正确的是(   )

 A.治疗癌症的方法之一是用药物抑制癌细胞的DNA复制.这将导致处于问期的细胞数目相对增多

  B.癌细胞有丝分裂时,DNA复制发生于问期,而染色体复制发生于前期

  C.观察动物的癌变组织进行有丝分裂时,在分裂末期染色单体彼此分开,向两极移动

  D.右图能够表示某癌细胞有丝分裂前期和后期的三个重要数值的相对量

试题详情

1.由中科院院士汪尔康和第三世界科学院院士董绍俊研究员等承担的国家自然科学基金重点基金项目“模拟生物膜体系的生物电化学研究”已取得了一批具有重要学术影响的成果,对生物电化学、生物传感器、纳米技术等领域具有重要的指导意义。下列有关叙述中正确的是  (   )

  A.细胞膜属于生物膜,并且是双层膜结构

  B.用蛋白酶处理生物膜会改变其组成,但不会改变其通透性

  C.生物传感器的原理与细胞膜上的糖被有关

  D.生物电化学的研究应该与生物膜上的带电粒在有关,与蛋白质无关

试题详情

4.(2010,浙江义乌) 如图,以线段为直径的⊙交线段于点,点是弧AE的中点,于点°,

(1)求的度数;

(2)求证:BC是⊙的切线;

  (3)求MD的长度.

[答案]解:(1)∵∠BOE=60°

∴∠A BOE = 30°

(2) 在△ABC中 

   ∴∠C=60°  

又∵∠A =30°

    ∴∠ABC=90°∴  ∴BC是⊙的切线

 (3)∵点M是弧AE的中点  ∴OMAE       

在Rt△ABC中 ∵  ∴AB

OA 

   ∴OD  ∴MD

(2010·绵阳)24.如图,△ABC内接于⊙O,且∠B = 60°.过点C作圆的切线l与直径AD的延长线交于点EAFl,垂足为FCGAD,垂足为G.(1)求证:△ACF≌△ACG;(2)若AF = 4,求图中阴影部分的面积.

答案:(1)如图,连结CDOC,则∠ADC =∠B = 60°.

ACCDCGAD,∴ ∠ACG =∠ADC = 60°.

由于 ∠ODC = 60°,OC = OD,∴ △OCD为正三角形,得 ∠DCO = 60°.

OCl,得 ∠ECD = 30°,∴ ∠ECG = 30° + 30° = 60°.

进而 ∠ACF = 180°-2×60° = 60°,∴ △ACF≌△ACG

(2)在Rt△ACF中,∠ACF = 60°,AF = 4,得 CF = 4.

在Rt△OCG中,∠COG = 60°,CG = CF = 4,得 OC =

在Rt△CEO中,OE =

于是 S阴影 = SCEOS扇形COD ==

(2010·浙江湖州)22.(本小题10分)如图,已知△ABC内接于⊙OAC是⊙O的直径,D是的中点,过点D作直线BC的垂线,分别交CBCA的延长线EF

(1)求证:EF⊙是O的切线;

(2)若EF=8,EC=6,求⊙O的半径.

(此题没有给答案)

试题详情

3.(2010,安徽芜湖)如图,BD是⊙O的直径,OA⊥OB,M是劣弧上一点,过点M作⊙O的切线MP交OA的延长线于P点,MD与OA交于点N。

(1)求证:PM=PN;

(2)若BD=4,PA=AO,过B点作BC∥MP交⊙O于C点,求BC的长.

[答案](1)证明:连结OM,∵ MP是⊙O的切线,∴OM⊥MP

∴∠OMD +∠DMP=90°

∵OA⊥OB,∠OND +∠ODM=90°

∵∠MNP=∠OND, ∠ODN=∠OMD  ∴∠DMP=∠MNP

∴PM=PN

(2)解:设BC交OM于E, ∵BD=4, ∴OA=OB=2, ∴PA=OA=3

∴PO=5

∵BC∥MP, OM⊥MP, ∴OM⊥BC, ∴BE=BC

∵∠BOM +∠MOP=90°,在Rt△OMP中,∠MPO +∠MOP=90°

∴∠BOM=∠MPO.又∵∠BEO=∠OMP=90°

∴△OMP∽△BEO    ∴,∴BE=  ∴BC=

试题详情


同步练习册答案