0  357496  357504  357510  357514  357520  357522  357526  357532  357534  357540  357546  357550  357552  357556  357562  357564  357570  357574  357576  357580  357582  357586  357588  357590  357591  357592  357594  357595  357596  357598  357600  357604  357606  357610  357612  357616  357622  357624  357630  357634  357636  357640  357646  357652  357654  357660  357664  357666  357672  357676  357682  357690  447090 

12.在一容积固定的真空密闭容器中,投入1.5molX(g)和0.5molY(g),在一定温度下反应达平衡,此时X的转化率为。若在同一温度同一容器中,最初投入的是3molX(g)和1molY(g),反应达到平衡时X的转化率为,则下列判断正确的是

    A.若,则                  B.若,则

    C.若,则                  D.若,则

试题详情

11.下列溶液中各微粒的物质的量浓度关系正确的

    A.向溶液中加入等物质的量的形成的溶液:

       

    B.0.1mol/L的NaHS溶液中:

    C.溶液中:

    D.25℃时,将0.1mol/L 溶液滴入0.1mol/L溶液中至pH=4:

       

试题详情

10.下列离子方程式正确的是

    A.过氧化钠与水反应:

    B.向碳酸氢镁溶液中加入过量的澄清石灰水:

       

    C.向明矾溶液中逐滴加入溶液至恰好完全沉淀:

       

    D.次氯酸钠与在碱性溶液中反应生成

       

试题详情

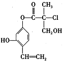
9.某有机物A的结构简式如右图所示,下列有关叙述正确的是

    A.1mol A最多可以与2mol Br2发生反应

    B.A在一定条件下可以发生消去反应和取代反应

    C.一个A分子中最多有8个碳原子在同一平面上

    D.1mol A与足量的NaOH溶液反应,最多可以消耗3mol NaOH

试题详情

8.X、Y、Z、M是4种短周期元素,其中X、Y位于同一主族,Y与M、X与Z位于同一周期。X原子最外层电子数是其电子层数的3倍。Z原子的核外电子数比X原子少1。M是同周期中原子半径最大的元素(除稀有气体元素外)。下列说法正确的是

    A.Z和X最多可以形成5种化合物

    B.由X和Y组成的分子一定是非极性分子

    C.X、Y、Z元素的气态氢化物中,Y的沸点最高

    D.四种元素简单离子的半径由大到小依次为Y>Z>X>M

试题详情

7.下列事实能用同一原理解释的是

    A.向硝酸银溶液和新制的Fe(OH)3胶体中分别加入少量稀盐酸均有沉淀产生

    B.向氯化钡溶液中通入SO2气体后再加入氯水或氨水,都产生白色沉淀

    C.向蛋白质溶液中加入饱和硫酸铵溶液或乙酸铅溶液,都产生白色沉淀

    D.明矾和硫酸铁均可用于水的净化

试题详情

6.“促进低碳经济,减少CO2的排放”是联合国《哥本哈根气候变化》会议的主题。下列措施中不符合这一主题的是

    A.推广煤的干馏技术,提供清洁、高效的燃料

    B.利用工业生产所产生的二氧化碳制造全降解塑料

    C.限制化工发展,关停化工企业,消除污染源头

    D.大力开发核能、太阳能、风能等新能源,以减少对化石能源的依赖

试题详情

5.对下列四幅图的描述正确的是

    A.图l中a阶段用X射线照射可诱发突变,c阶段用秋水仙素处理能抑制纺锤体的形成     B.图2中若在f点施加一强刺激,则在图中的c、d、e、g点可测到膜内外电位变化

    C.图3中bc段和de段的变化都会引起C3化合物含量的下降

    D.由图4可看出,b点时种群增长率最大,种内斗争最激烈

试题详情

4.下列有关细菌的叙述错误的是

    ①细菌在生态系统中的成分可为生产者、消费者或分解者  ②单个或少数细菌在液体培养基上大量繁殖,形成菌落,可作为菌种鉴定依据  ③与细菌共生的病毒称为噬菌体  ④细菌的遗传物质是DNA或RNA  ⑤细菌具有细胞壁,可用纤维素酶与果胶酶进行水解形成原生质体  ⑥细菌侵入人体后作为抗原可引起人体的体液免疫或细胞免疫

    A.②③④⑤                          B.③④⑤⑥

    C.①②③④                          D.②③⑤⑥

试题详情

3.下列曲线不能正确反映人体免疫过程中某些因素变化情况的是

试题详情


同步练习册答案