0  362764  362772  362778  362782  362788  362790  362794  362800  362802  362808  362814  362818  362820  362824  362830  362832  362838  362842  362844  362848  362850  362854  362856  362858  362859  362860  362862  362863  362864  362866  362868  362872  362874  362878  362880  362884  362890  362892  362898  362902  362904  362908  362914  362920  362922  362928  362932  362934  362940  362944  362950  362958  447090 

5.(思维拓展题)如下图所示:若关闭Ⅰ阀,打开Ⅱ阀,让一种含氯气的气体经过甲瓶后,通入乙瓶,布条不褪色;若关闭Ⅱ阀,再通入这种气体,布条褪色。甲瓶中所盛的试剂可能是(   )

①浓硫酸    ②饱和氯化钠溶液   

③亚硫酸钠溶液    ④饱和碳酸氢钠溶液

A.①②③  

B.②③④

C.①②④  

D.①③④

试题详情

4.下列三个反应式中的X与Y分别为两种金属元素的代号,但Cl为氯的元素符号。

X+YCl2→XCl2+Y

Cl2+2XCl→2XCl3

Y+2XCl3→YCl2+2XCl2

已知三个反应均能向右进行,试依据以上三个反应式,推测下列物质中哪一个是最强的氧化剂(   )

A.XCl3  

B.XCl2  

C.Cl2  

D.Y 

E.YCl2

试题详情

3.下列物质能使干燥的蓝色石蕊试纸先变红后褪色的是(   )

①氯气    ②液氯    ③新制氯水    ④敞口放置的久置氯水   

⑤盐酸    ⑥用盐酸酸化的漂白粉溶液

A.①②③  

B.①②③⑥

C.③⑥  

D.③④⑥

试题详情

2.(2009年全国卷Ⅰ)下列表示溶液中发生反应的化学方程式错误的是(   )

A.2Al+2NaOH+2H2O=2NaAlO2+3H2

B.2KMnO4+HCOOK+KOH=2K2MnO4+CO2↑+H2O

C.MnO2+4HCl(浓)MnCl2+Cl2↑+2H2O

D.K2Cr2O7+6FeSO4+7H2SO4=Cr2(SO4)3+3Fe2(SO4)3+K2SO4+7H2O

试题详情

1.自来水厂常使用氯气消毒,市场上有些小商贩用自来水充当纯净水出售。下列试剂中可用来辨别纯净水真伪的是(   )

A.酚酞试液             

B.氯化钡溶液

C.氢氧化钠溶液  

D.硝酸银溶液

试题详情

14.(18分)(2009·江苏高考)多沙唑嗪盐酸盐是一种用于治疗高血压的药物.多沙唑嗪的

合成路线如下:

(1)写出D中两种含氧官能团的名称:______________和____________.

(2)写出满足下列条件的D的一种同分异构体的结构简式__________________.

①苯的衍生物,且苯环上的一氯代物只有两种;②与Na2CO3溶液反应放出CO2

气体;③水解后的产物能与FeCl3溶液发生显色反应.

(3)E→F的反应中还可能生成一种有机副产物,该副产物的结构简式为

_____________________________________________________________.

(4)由F制备多沙唑嗪的反应中要加入试剂

X(C10H10N3O2Cl),X的结构简式为_____________.

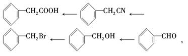
(5)苯乙酸乙酯是一种常见的合成香料.请设计合理的方案以

苯甲醛和乙醇为原料合成苯乙酸乙酯(用合成路线流程图表

示,并注明反应条件).

提示:①R-Br+NaCN―→R-CN+NaBr;②合成过程中

无机试剂任选;③合成路线流程图示例如下:

解析:(1)掌握常见的官能团

“-OH”“-COOH”“ ”“R-O-R”等.

(2)D的分子式为C9H8O4,不饱和度为:=6,1个苯环4个不饱和度,故除苯环外还有2个不饱和键.与Na2CO3反应放出CO2气体,故有“-COOH”,由其分子式及能够发生水解知含有酯基,水解后的产物能与FeCl3显色反应,故为

酯,且具有这样的结构“         ”,再结合不饱和度及苯环上一

氯代物仅两种可推断出其中一种同分异构体为

 

,将“-CH3”移位可得

 

 

(3)E→F的反应为取代反应,而       两个N上H均可被取代,故另一副

产物为

(4)根据F及多沙唑嗪的结构简式及试剂X的分子式易推出X的结构简式为

且该反应为取代反应.

(5)采用逆推法,要获得

和CH2CH2OH,逆推原料CH3CH2OH已有,而          无,原料仅

提供

 

要将                    ,根据题目信息R-Br+

NaCN―→R-CN+NaBr,则

故流程为        H2催化剂              

 

              CH2COOH

答案:(1)羧基 醚键

试题详情

13.(12分)乙炔是一种重要的有机化工原料,以乙炔为原料在不同的反应条件下可以

转化成以下化合物.完成下列各题:

 (1)正四面体烷的分子式为________,其二氯取代产物有________种.

(2)写出与环辛四烯互为同分异构体且属于芳香烃的分子的名称:________.

(3)写出与苯互为同系物,分子式为C8H10且苯环上的一氯代物只有两种的有机物的

名称(分别用习惯命名法和系统命名法命名)________________、_________________.

解析:(1)根据碳原子的成键特点可知,每个碳原子上连接了1个氢原子,所以分子

式是C4H4;四个碳原子是相同的,二氯代物只有一种.

(2)与环辛四烯互为同分异构体且属于芳香烃的分子的结构简式是

         ,名称是苯乙烯.

(3)分子式为C8H10,且苯环上的一氯代物只有两种的有机物的结构简式是

 

,用习惯命名法的名称是邻二甲苯,用系统命名法的名称是1,2­二甲

基苯.

答案:(1)C4H4 1 (2)苯乙烯 (3)邻二甲苯1,2­二甲基苯

试题详情

12.(10分)烷基取代苯       可以被KMnO4的酸性溶液氧化生成      

,但若烷基R中直接与苯环连接的碳原子上没有C-H键,则不容易被氧化生成         .现有分子式是C11H16的一烷基取代苯,已知它可以被氧化成为        的异构体共有7种,其中的3种是

请写出其他4种的结构简式:

_______________________________________________________________________

__________________________________________.

解析:此题实质是判断含有5个碳原子的烷基同分异构体的数目,同时附加了一

个条件,与苯环相连接的碳上连有氢原子.

试题详情

11.(10分)拟除虫菊酯是一类高效、低毒、对昆虫具有强烈触杀作用的杀虫剂,其中对

光稳定的溴氰菊酯的结构简式如图(端点和拐点代表碳原子、双线代表碳碳双键)

(1)下列对该化合物叙述正确的是________.

A.属于芳香烃  B.属于卤代烃

C.不具有酯的性质  D.含有5种官能团

(2)分子中含有的碳原子数是____________,氧原子数是__________.

(3)对于此种物质的性质下列说法正确的是________.

①能使溴水褪色 ②能被高锰酸钾酸性溶液氧化

③难溶于水  ④可以发生加成反应

解析:(1)分子中含有卤素原子、碳碳双键、酯基、醚键、-CN五种官能团;由于含

有酯基,所以具有酯的性质.

(2)由于分子中的端点和拐点各代表一个碳原子.所以分子中共有23个碳原子;酯基

中有两个氧原子,醚键中含有一个氧原子,即共有三个氧原子.

(3)分子中含有碳碳双键,能使溴水褪色,能够被高锰酸钾酸性溶液氧化;这种有机

物由于缺少亲水基团,难溶于水;苯环和碳碳双键均可与氢气发生加成反应.

答案:(1)D (2)23 3 (3)①②③④

试题详情

10.下列物质是同分异构体的是                           ( )

①对二甲苯和乙苯 ②淀粉和纤维素 ③1­氯丙烷和2­氯丙烷 ④丙烯和环丙烷 

⑤乙烯和聚乙烯

A.①②③④⑤               B.①③④

C.②③④                  D.①②④

解析:对二甲苯和乙苯分子式都是C8H10,是同分异构体;淀粉和纤维素虽然分子式的表示形式相同,但n值不同,所以不是同分异构体;1­氯丙烷和2­氯丙烷是同分异构体;丙烯和环丙烷分子式相同,但是结构不同,是同分异构体;乙烯是小分子,聚乙烯是乙烯加聚后的高分子产物.

答案:B

试题详情


同步练习册答案