0  363393  363401  363407  363411  363417  363419  363423  363429  363431  363437  363443  363447  363449  363453  363459  363461  363467  363471  363473  363477  363479  363483  363485  363487  363488  363489  363491  363492  363493  363495  363497  363501  363503  363507  363509  363513  363519  363521  363527  363531  363533  363537  363543  363549  363551  363557  363561  363563  363569  363573  363579  363587  447090 

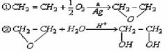
8.煤的气化和液化是使煤变成清洁能源的有效途径。煤气化的主要反应是

C+H2O    CO+H2 ,CO和H2的混合气体是合成多种有机物的原料气。下图是合成某些物质的路线。

其中D易溶于水,且与CH3COOH互为同分异构体;F分子中的碳原子数是D的3倍;H经催化氧化可以得到G。请回答:

(1)写出下列物质的结构简式:

A:               H:            ;指出A和H的关系    

(2)写出下列反应的化学方程式:

CH3COOH + E→F                   ;

D与新制Cu(OH)2共热                 。                         

试题详情

7.2,4-滴即2,4-二氯苯氧乙酸(),是用于水生杂草谷物、玉米等耕地的双叶杂草的除草剂。它由2,4-二氯苯酚钠与氯乙酸反应制得;2,4-二氯苯酚是用氯气直接通入熔融苯酚制得,再加入NaOH溶液而得苯酚钠;氯乙酸则由氯气通入乙酸以PCl5作催化剂发生取代反应而制得。请写出下列有关化学方程式。

(1)由苯酚制取二氯苯酚             

(2)由二氯苯酚制取二氯苯酚钠           

               

(3)由乙酸制取氯乙酸              

(4)合成2,4滴                  

试题详情

6.盐酸普鲁卡因是外科常用药,作为局部麻醉剂,普鲁卡因在传导麻醉、浸润麻醉及封闭疗法中均有良好药效。它的结构简式如下:

已知:

 ①写出各步反应所需试剂及中间产物的化学式: A____   __ B___   ___ C____   __ D____   __

E__  ____ F__   ___ G___   ___ H___   ___ ② 若 的化学名是:乙酸-β-二甲胺基乙酯盐酸盐,则盐酸普鲁卡因的化学名是_________________________________。

试题详情

5.聚氨酯是主链含有-NHCOO-重复结构单元的一类新型高分子化合物,常用作弹性体、纤维、胶粘剂等,其单体是异氰酸酯(如O=C=N-R-N=C=O)和多元醇(如H-O-Rˊ-O-H),其高聚物的结构简式为:

(1)由O=C=N-R-N=C=O和 HO-Rˊ-OH合成聚氨酯属于     反应。

(2)若单体是2,6-甲苯二异氰酸酯和1,3-丙二醇,写出生成

高聚物的化学方程式               

试题详情

3. 人体缺碘会影响正常的生命活动。为提高人体素质,食物补碘已引起人们的重视。据报道,人从食物中摄取碘后碘便在甲状腺中积存下来,通过一系列化学反应可形成甲状腺素。甲状腺素的结构如右图:

(1)甲状腺素的分子式为           。

(2)在甲状腺内,甲状腺素的合成过程可能是:

试写出上述两步反应的化学方程式,并注明反应类型。                                        (     )

                                         (     ) 4.已知有如下反应:

根据以下转化过程填空:  写出下列有机物结构简式:A         ,B         ,C         ,D         ,F        

试题详情

2. 已知卤代烃在强碱的水溶液共热时,卤原子能被带负电荷的原子团OH-所取代。现有一烃A,它就能生成下图所示的变化。

又知两分子的E相互反应,可以生成环状化合物C6H8O4,回答下列问题: (1)A的结构简式________ _,C的结构简式         

 D的结构简式___ _____,E的结构简式        (2)在①-⑥反应中,属于加成反应的是(填序号)____   _ (3)写出下列反应的化学方程式(有机物写结构简式)F→G__________             ____

G→H_____                   

试题详情


同步练习册答案