0  363392  363400  363406  363410  363416  363418  363422  363428  363430  363436  363442  363446  363448  363452  363458  363460  363466  363470  363472  363476  363478  363482  363484  363486  363487  363488  363490  363491  363492  363494  363496  363500  363502  363506  363508  363512  363518  363520  363526  363530  363532  363536  363542  363548  363550  363556  363560  363562  363568  363572  363578  363586  447090 

1.由三种有机物组成的混合物X,三种有机物A、B、C互为同分异构体。

①X在400℃,1.01×105Pa压强,其蒸气密度为1.63g/L。

②把1.8gX完全燃烧后得到2.64CO2和 1.08gH2O,A和B具有相同的物质的量。

③4.5gX中,A和B均能与金属钠反应生成896mL氢气(标准状况),C不反应。

④4.5gX中,A和B均能与Na2CO3溶液反应生成448mLCO2气体(标准状况下),C不反应。

⑤2molA在有催化剂条件下能酯化形成1mol六个原子环状内酯。

⑥C不能进行上述④、⑤反应,但能起银镜反应。且有醚

-O-的结构。

试回答下列问题:

(1)确定A、B、C三中有机物的相对分子质量   

             

(2)推导A、B、C三中有机物的分子式     

             

(3)试推测A、B、C三中有机物的结构简式    

             

(4)A、B、C三中有机物物质的量之比为      

试题详情

2.已知有机物分子的烯键可发生臭氧分解反应,例如:

R-CH=CH-CH2OHR-CH=O+O=CH-CH2OH

有机物A的分子式是C20H26O6,它可在一定条件下发生缩聚反应合成一种感光性高分子B,B在微电子工业上用作光刻胶。

A的部分性质如图所示:

试根据上述信息结合所学知识,回答:

(1)化合物(A)、(C)、(E)中具有酯的结构的是   

(2)写出化合物的结构简式:C:      

D:      E:       B:      

(3)写出反应类型:

反应Ⅱ        反应Ⅲ        

(4)写出反应Ⅱ的化学方程式(有机物要写结构简式)。

                         

测试提高

试题详情

1. 有一种广泛用于汽车、家电产品上的高分子涂料,是按下列流程图生产的。

图中M(C3H4O)和A都可以发生银镜反应,N和M的分子中碳原子数相等,A的烃基上一氯取代位置有三种 。

 试写出:(1)物质的结构简式:A      ,M      ,物质A的同类别的同分异构体为            ;

N+B→D的化学方程式:

                          。

应类型:X           Y           。

试题详情

2.对一些有机推断、有机合成题中所给的信息不能理解,有时甚至不知道给信息的目的,给解题带来困难。

纠错训练

试题详情

1.对某些有机反应的反应本质了解不清。

试题详情

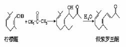
6. 我国盛产山苍子精油,用其主要成分柠檬醛可以与丙酮反应制取假紫罗兰酮,进而全成具有工业价值的紫罗兰酮。

已知:R-X+H2O→R-OH+HX("R-"为烃基)下面是一种有机物A的合成路线,

请回答有关问题:写出a、c、d、e的结构简式 a_________      ___、c___       _________、

d______      ______、e_____       _______。

第44课时  有机反应类型及合成(B卷)

易错现象

试题详情

5.已知苯的同系物可被高锰酸钾氧化。如:,又如涤纶树脂的合成原理是:

试以对二甲苯、乙烯、氯气、氧化剂、水为原料,写出制备合成涤纶树脂单体的化学方程式。

                        

                        ,

                        

(该题考查了苯的同系物、烯烃、酯化缩聚等知识的理解和综合运用能力)

试题详情

4. 化合物C和E都是医用功能高分子材料,且有相同的元素百分组成,均可由化合物A(C­4H8O3)制得,如下图所示。B和D互为同分异构体。

试写出:(1)化学方程式:

A→D                        。

B→C                       。

(2)反应类型: A→B          

B→C          ;A→E             。

(3)E的结构简式             ;

A的同分异构体(同类别且有支链)的结构简式:                       。

(考查了分子内和分子间酯化反应的区别)

试题详情

3. 已知:(X代表卤素原子,R代表烃基)

利用上述信息,按以下步骤从  合成

(部分试剂和反应条件已略去。)

请回答下列问题:

(1)分别写出B、D的结构简式:B        、D           

(2)反应①-⑦中属于消去反应的是        。(填数字代号)

(3)如果不考虑⑥、⑦反应,对于反应⑤,得到的E可能的结构简式为:

_____________________   _______。

(4)试写出C→D反应的化学方程式(有机物写结构简式,并注明反应条件)

__________________________________    ______。

(考查了醇羟基和酚羟基在性质上的差别和联系)

试题详情

2.已知酮在催化剂作用下能被氢气还原为相应的醇,且不会被银氨溶液氧化。

根据下列各步变化,将有机产物A、B、C的结构简式填入相应的方框内:

⑴在浓硫酸中发生消去反应的化学方程式

 

                    

(2)C在烧碱溶液中发生反应的化学方程式:

 

                     。 

(该题主要考查了羰基和醛基在性质上的差别)

试题详情


同步练习册答案