0  363582  363590  363596  363600  363606  363608  363612  363618  363620  363626  363632  363636  363638  363642  363648  363650  363656  363660  363662  363666  363668  363672  363674  363676  363677  363678  363680  363681  363682  363684  363686  363690  363692  363696  363698  363702  363708  363710  363716  363720  363722  363726  363732  363738  363740  363746  363750  363752  363758  363762  363768  363776  447090 

7.在可行域内任取一点,如框图所示进行操作,则能输出数对的概率是

A.        B.

C.        D.

试题详情

6. 已知a,b都是实数,那么“”是“”的         (   )

    A.充分而不必要条件              

B.必要而不充分条件

    C.充分必要条件                  

D.既不充分与不必要条件

试题详情

5. 若=(2, -3), =(1, -2),向量满足^,·=1,则的坐标是

    A.(3,-2)       B.(3, 2)      C.(-3, -2)     D.(-3, 2)

试题详情

4.相切,且在两坐标轴上截距相等的直线有 

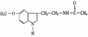
  A.2条       B.3条       D.4条       D.6条

试题详情

3. 等比数列{an}中,a4=4,则等于( )

A.4        B.8        C.16       D.32

试题详情

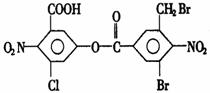
2.设全集则右图中阴影部分表示的集合为 

A.    B.

  C.{x|x>0}              D.

试题详情

1.sin660的值是     

A.    B.    C.            D.

试题详情

(二)部分化学键的键能 

化学键
C-O
C-H
C-C
O-H
键能(kJ/mol)
351
414
347
460

① 二甲醚和乙醇互为同分异构体,但二甲醚的燃烧热略高于乙醇,原因是                                      

② 某汽车制造厂拟生产以甲醇、二甲醚的混合液体替代汽油为燃料的汽车。若混合液体中甲醇、二甲醚的体积比为1∶2,则要使一辆汽车在相同状况下行驶相同的路程,

汽车的油箱应扩大为原来的      倍(忽略液体混和时液体体积的变化和油箱扩大后汽车质量的变化);

③ 若采用上述混合液体替代汽油为汽车燃料,为使燃料充分燃烧,进入内燃机气缸的燃料和空气的比例应作相应的调整。在不改变内燃机气缸燃料进入量的情况下,用上述混合液体替代汽油时,汽车内燃机的空气进入量应          (填“增多”或“减小”。燃料在进入内燃机喷油器时已经气化)。

23.以乙烯、丙烯为初始原料合成抗高血压药物维普罗斯托(Viprostol)中间体化合物④的合成线路如下:

 

II、氧化性:K2Cr2O7>KMnO4>CrO3

请回答下列问题:

⑴ 反应①中原子利用率为         

⑵ 写出化合物②的键线式:                

⑶ 卤代烃和Mg在无水乙醚中生成的化合物RMgX被称为格林试剂,格林试剂在有机合成中具有广泛运用。反应③的格林试剂RMgBr中,R-的结构简式为       

⑷ 上述合成线路中,与反应④的反应类型相同的反应还有           ;反应④中使用CrO3而不使用K2Cr2O7,可能的原因是                  

⑸ 化合物①-④中,含有手性碳原子的是         

24.有机物分子中官能团之间相互影响,使得有机物分子中某些原子或原子团的活

性发生变化而更易发生某些化学反应。请回答下列问题:

⑴ 苯、苯酚与Br2反应的产物分别为一元取代物和三元取代物,说明羟基的存在使苯酚中苯环上的              

⑵ 事实证明,苯酚的卤代反应与反应环境有关,在酸性环境中生成一元取代物,在碱性环境中生成三元取代物(如下)。可能的原因是                  ; 

⑶ 写出苯酚在酸性条件下分别与下列物质发生卤代反应的化学方程式:

   ① 次氯酸                               

   ② (CH3)3COCl                             

25.150℃时,只含C、H、O三种元素的有机物A 8.8 g 在一定量的O2中燃烧,生成的混合气体缓慢通过盛有足量无水CuSO4的干燥管,干燥管中的固体增重10.8g,剩余的气体通入盛有足量澄清石灰水的试剂瓶,试剂瓶中的物质增重8.8g,最后的气体缓慢通过盛有灼热CuO的硬质试管,硬质试管中的物质质量减少4.8g。请通过计算和分析回答下列问题:

  ⑴ 本题中,A和O2反应的化学方程式为                     

⑵ 参加反应的O2在标准状况下的体积为   

⑶ 若A的结构满足下列条件:

① 能和Na反应但不能和NaOH反应;② 能进行催化氧化但不能发生消去反应。

则A的结构简式为   

⑷ C是A的同分异构体。红外光谱显示,C和A具有相同的官能团,比A少一个甲基。

 

从C合成         的反应流程图为              (请注明反应条件)。

26.某酯A的化学式为C9H10O2,且A分子中只含有1个苯环,苯环上只有一个取代基。现测出A的1H-NMR谱图有5个峰,其面积之比为1︰2︰2︰2︰3。利用红外光谱仪可初步检测有机化合物中的某

些基团,现测得A分子的

红外光谱如下图:

试回答下列问题。

(1)A的结构简式可为C6H5COOCH2CH3  C6H5CH2OOCCCH3          

(2)A的芳香类同分异构体有多种,请按要求写出其中不含甲基且属于芳香酸的B的结构简式:                 

(3)已知C是A的同分异构体,分子中不含甲基,且遇FeCl3溶液显紫色,苯环上只有两个对位取代基的芳香醛,且有如下转化关系。

 

① 写出D   E的化学方程式                      

② 请用合成反应流程图表示出由C合成F的最合理的合成方案(注明反应条件)。

提示:合成反应流程图表示方法示例如下:

 

27.已知:

甲苯及其卤代物是有机化工的基本原料,由它出发可制造某些香料、药物及广泛应用于印刷、电子工业中的感光树脂的重要中间体,它们之间的关系如下图所示:图中 B、D、E 都能使浪水褪色, E 在光等辐射能作用下可以发生二聚加成反应,生成互为同分异构体的环状化合物 F 和 G ; E 还可以在一定条件下形成一种优质高分子感光树脂的单体H。试回答:

⑴ 写出有机物的结构简式: A____________、C_____________、D_____________。

⑵ 反应(I)的类型是______________,反应(II)的类型是______________。

⑶ 完成化学方程式: A→B:____________________________________________。

⑷ 同种类、互为同分异构体的 F 和 G 的结构简式为:F________、G_________。

⑸ 已知:,如果E→H的反应在一定条件下也能实现的话,请你预测所得高分子感光树脂单体H 的最简单的结构简式为_______________________________________________

28.Ⅰ.某化合物A在一定条件下能发生如下图所示的转变:

其中只有B1既能使溴水褪色,又能与Na2CO3 溶液反应放出CO2 ,回答下列问题:

(1)指出反应类型:X    反应,Y   反应。

   (2)物质A的结构简式为       。

   (3)写出C1  C2的化学方程式        。

   (4)与F互为同分异构体且核磁共振氢谱只有一种峰的有机物的结构简式有  

Ⅱ.已知,卤代烃之间能发生反应:

C4H9Cl  (C4H9)2CuLi C4H9-C2H5

聚苯乙烯是一种生活中常见的塑料,试以碳化钙、苯为基本有机原料,无机原料自选,在下列方框中用合成反应流程图合成聚苯乙烯( )。

流程图示例:A  B  

 

有机化学基础综合练习一答案

1
2
3
4
5
6
7
8
9
10
D
D
C
C
A
B
A
B
AC
D
11
12
13
14
15
16
17
18
19
20
AD
BD
D
BC
D
D
C
AB
 
 

19.⑴ 防止倒吸  ⑵ 6  6  ⑶ AC 浓硫酸吸收反应中生成的水,降低了生成物浓度使平衡向生成乙酸乙酯的方向移动  ⑷ 大量乙酸、乙醇末经反应就脱离反应体系或温度过高发生其他反应

20.⑴ 不是  2  ⑵ 17  ⑶ 4  1∶1∶2∶1  ⑷ 3

21

氯代烃消去
醇的消去
炔烃与氢气不完全加成
 
醇与卤代
烃的取代
不饱和烃与卤素
或卤化氢加成
烷烃或苯及苯
的同系物的取代
 
烯烃与水加成
卤代烃的水解
酯的水解
醛的还原

22.⑴ 石油裂解

⑵ CH2=CHCN  CH2=CH-CH=CH2 

⑶ ① 等量乙醇和二甲醚完全燃烧,反应物中化学键断裂时二甲醚吸收的能量低

② 1.8  减小

23.⑴ 100%  ⑵ 

⑶ CH2=CH-

⑷ 反应①、反应②  保护C=C不被氧化

⑸ 化合物③

24.⑴ 邻、对位氢活性增强  ⑵ 在碱性环境中苯酚分子中邻、对位氢活性增强,更易发生取代反应 

  ⑶

25.⑴ C5H11OH+6O2→2CO2+3CO+6H2O

⑵ 13.44L

 

 

⑷ (CH3)2CHCH2CH2OH      (CH3)2CHCH=CH2      (CH3)2CHCHBrCH3

 

         (CH3)2CHCH(OH)CH3        

26.(1) C6H5CH2OOCCCH3 (2分)  (2) C6H5CH2CH2COOH(2分)

(3)①HOC6H4CH2CH2COOH+NaHCO3     HOC6H4CH2CH2COONa+CO2↑+H2O(2分)②由C( HOC6H4CH2CH2CHO)制备F,需经过加成反应得醇,再发生消去反应得烯,其产物再与卤素的单质发生加成反应,最后将其水解即得目标产物。其合成流程图示如下:

(每个框1分,包括条件,共6分)

27.⑴ A:C: D:

⑵ 氧化  酯化(取代)

+CH3CHO+H2O

  

(方程式每含 2 分,其它1分)

28、(共12分)

(1) 取代(或水解)   消去(每空1分)

(2)

CH3      CH3
|       |
CH2=C-COOCH2-CH-CH2Br
 
(2分)

(3)

CH3 
|  
HOCH2-CH-CH2Br
 
+ NaOH
CH3 
|  
HOCH2-CH-CH2OH
 
+ NaOH  (2分)

(4)

O O
|| ||
CH3-O-C-C-O-CH3
 
 
O    O
||     ||
CH3-C-O-O-C-CH3
 
 
(2分,对1 个即可)

(5)(4分。到(CH2=CH)2CuLi给2分,到苯乙烯给3分,到聚苯乙烯给4 分,漏条件整体扣1 分)

 

试题详情

(一)部分燃料的燃烧热和热值

燃  料
CH3OH
C2H5OH
CH3OCH3
汽油(C8H18)
燃烧热(kJ/mol)
726.5
1 366.8
1 453.0
5 472.0
热  值(kJ/L)
1.8×104
2.0×104
2.1×104
3.6×104

试题详情

9.对有机反应中有机物化学键变化的认识有助于理解有机反应的实质。对下列有机反应中化学键变化的认识正确的是(“  ”或“  ”表示化学键断裂处,“    ”表示生成的化学键)

A.乙醇催化氧化:

 

B.乙酸和乙醇的酯化反应:

 

C.溴乙烷的消去反应:

 

D.乙醛与氢气的加成反应:

10.下列实验方法正确的是

A.用酸性高锰酸钾溶液可除去乙烯中含有的乙烷

B.用NaOH、AgNO3溶液可检验氯乙烷水解生成的Cl

C.用稀H2SO4、Ag(NH3)2OH溶液可检验淀粉水解的产物为葡萄糖

D.用金属钠、碳酸钠可验证水、乙醇、乙酸分子中羟基氢的活泼性强弱

11.关于糖类、油脂、蛋白质、苯、苯酚的说法错误的是

A.除去苯中的少量苯酚:加入浓溴水振荡、静置后过滤,除去三溴苯酚沉淀

B.油脂皂化是取代反应,硬化是加成反应

C.氨基酸、多肽、蛋白质都具有两性

D.饱和Na2SO4、CuSO4溶液均可用于蛋白质的盐析

12.断肠草(Gelsemium)为中国古代九大毒药之一,据记载能“见血封喉”,现代查明它是葫蔓藤科植物葫蔓藤,其中的毒素很多,下列是分离出来的四种毒素的结构式,下列推断错误的是

A.①与②、③与④分别互为同分异构体

B.①、③互为同系物

C.①、②、③、④均能与氢氧化钠溶液反应

D.等物质的量②、④分别在足量氧气中完全燃烧,前者消耗氧气比后者少

13.已知苯环上由于取代基的影响,使硝基邻位上的

卤原子的反应活性增强,现有某有机物的结构简式

如右图:1mol该有机物与足量的氢氧化钠溶液混

合并共热,充分反应后最多可消耗氢氧化钠的物质

的量为a(不考虑醇羟基和硝基与氢氧化钠的反

应),则a

A.5mol           B.6mol          C.7mol          D.8mol

14.“人文奥运、科技奥运、绿色奥运”是2008年北京奥运会的重要特征。其中禁止运动员使用兴奋剂是重要举措之一。以下两种兴奋剂的结构分别为:

①利尿酸                   ②兴奋剂X

则关于它们的说法中正确的是

A.利尿酸分子中有三种含氧官能团,在核磁共振氢谱上共有六个峰

B.1 mol兴奋剂X与足量浓溴水反应,最多消耗4 mol Br2

C.两种兴奋剂均属于芳香族化合物

D.两种分子中的所有碳原子均不可能共平面

15.盐酸乙哌立松片是一种骨骼肌松弛剂,能改善由肩周炎、腰痛症等引起的肌紧张状况。其有效成分的结构简式如下:

下列关于该化合物的说法错误的是

A.它是芳香族化合物   B.它易溶于水,较易溶于乙醇,却难溶于丙酮

C.它能发生还原反应   D.它不能使酸性高锰酸钾溶液褪色

16.下列各物质中,互为同系物的是     

 

A.        和           B.HCOOCH3和CH3COOH

C.油酸和软脂酸           

17.分子式为C3H8O的醇与分子式为C4H8O2的酸在浓硫酸存在时共热生成的酯(  )

A、6种      B、5种      C、4种      D、3种 

18.脑白金中主要成分的结构简式如下所示,下列对脑白金主要成分的推断错误的是 (  )

A.该物质是苯的同系物    

B.该物质属于蛋白质

C.其分子式为C13H16N2O2   

D.它能水解得到乙酸

非  选  择  题

19.乙酸乙酯是重要的有机合成中间体,广泛应用于化学工业。为证明浓硫酸在该反应中起到了催化剂和吸水剂的作用,某同学利用下图所示装置进行了以下四

个实验,实验开始先用酒精灯微热3min,再加热使之微微沸腾3min。实验结束后充分振荡试管Ⅱ,再测试管II中有机层的厚度,实验记录如下:

实验
编号
试管Ⅰ中的试剂
试管Ⅱ中试剂
测得有机层的厚度/cm
A
2mL乙醇、2mL乙酸、1mL 18mol/L浓硫酸
饱和碳酸钠溶液
5.0
B
3mL乙醇、2mL乙酸
0.1
C
3mL乙醇、2mL乙酸、6mL 3mol/L硫酸
1.2
D
3mL乙醇、2mL乙酸、盐酸
1.2

⑴ 干燥管的作用为          

⑵ 实验D的目的是与实验C相比照,证明H+对酯化反应具有催化作用。实验D中应加入盐酸的体积和浓度分别是      mL和      mol/L。

⑶ 分析实验      (填实验编号)的数据,可以推测出浓硫酸的吸水性提高了乙酸乙酯的产率。浓硫酸的吸水性能够提高乙酸乙酯产率的原因是                                     

⑷ 加热有利于提高乙酸乙酯的产率,但实验发现温度过高乙酸乙酯的产率反而降低,可能的原因是                          

20.下图是除莠剂2,4-D以及结构改变后的物质2,4,5-T的结构简式:

请回答下列问题:

  ⑴ 2,4-D和2,4,5-T   (填“是”或“不是”)同系物;

⑵ 2,4-D分子中处于同一平面的原子最多可能有   个;

⑶ 2,4,5-T的核磁共振氢普共有   个峰,峰面积之比为   

⑷ 2,4-D的同分异构体中有一类属于碳酸完全酯化后的碳酸酯,且分子内含有苯环、2个氯原子化学环境相同。这样的同分异构体共有   种。

21.有机合成的思路就是通过有机反应构建目标化合物的分子骨架,并引入或转化所需的官能团。请各用一个有机化学方程式表示在有机物中引入相应官能团的方法(请注明反应条件,且:如果反应类型相同,则要求反应物含有不同的官能团;如果反应物含有相同的官能团,则要求反应类型不相同)。 

 

⑴在有机物中引入官能团

反应①      ;反应②      ;反应③        

⑵在有机物中引入官能团“-X”:

反应①        ;反应②        ;反应③          

⑶在有机物中引入官能团“-OH”:

反应①       ;反应②       ;反应③       ;反应④       

22.有机化学的不断发展能使人类社会充分合理的利用能源、使用材料,使人类社会走科学、可持续发展之路。请回答下列问题:

  ⑴ 今年6月1日起,我国商品零售场所将实行塑料购物袋有偿使用。商场使用的塑料购物袋的材料聚乙烯的单体主要来自于          

 以煤的深加工产品为原料,可以合成工程塑料ABS,ABS的结构简式为

                    请写出合成ABS的单体的结构简式     

⑶ 当今世界汽车技术的主题是安全、节能、环保和智能化。为满足节能和环保的要求及日益严格的排放法规,内燃机工作者不得不寻求汽油的替代燃料。研究表明,甲醇、二甲醚(CH3OCH3)的混合液体最有可能成为汽油替代品。

已知下列数据:

试题详情


同步练习册答案